Официальное опубликование правовых актов
ОФИЦИАЛЬНОЕ ОПУБЛИКОВАНИЕ
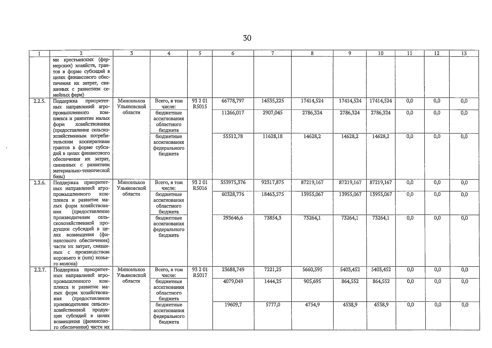
Постановление Правительства Ульяновской области от 31.01.2025 № 1/45-П
"О внесении изменений в государственную программу Ульяновской области "Развитие агропромышленного комплекса, сельских территорий и регулирование рынков сельскохозяйственной продукции, сырья и продовольствия в Ульяновской области" и о признании утратившим силу отдельного положения постановления Правительства Ульяновской области от 26.11.2024 № 32/695-П"
Номер опубликования: 7300202502060002
Дата опубликования: 06.02.2025
Страница №31 из 53:
Увеличить