Официальное опубликование правовых актов
ОФИЦИАЛЬНОЕ ОПУБЛИКОВАНИЕ
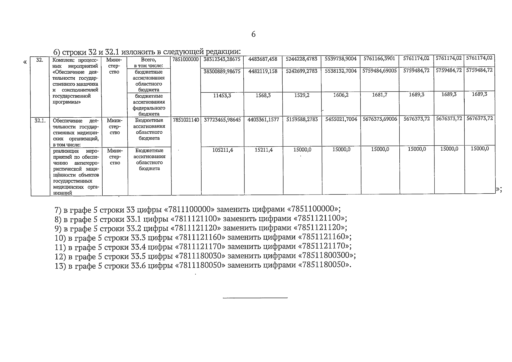
Постановление Правительства Ульяновской области от 29.05.2025 № 12/263-П
"О внесении изменений в государственную программу Ульяновской области "Развитие здравоохранения в Ульяновской области"
Номер опубликования: 7300202506020002
Дата опубликования: 02.06.2025
Страница №7 из 7:
Увеличить