Официальное опубликование правовых актов
ОФИЦИАЛЬНОЕ ОПУБЛИКОВАНИЕ
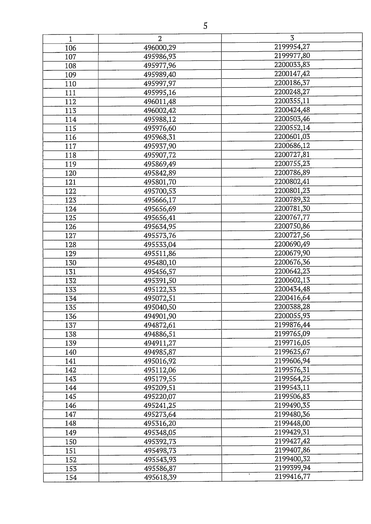
Указ Губернатора Ульяновской области от 17.09.2025 № 76
"Об установлении охранных зон особо охраняемых природных территорий регионального значения Ульяновской области, относящихся к категории памятников природы"
Номер опубликования: 7300202509190012
Дата опубликования: 19.09.2025
Страница №8 из 87:
Увеличить