Официальное опубликование правовых актов
ОФИЦИАЛЬНОЕ ОПУБЛИКОВАНИЕ
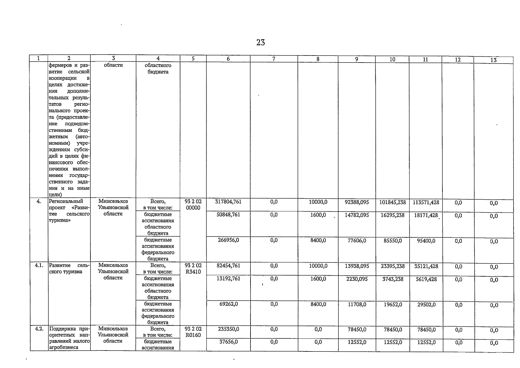
Постановление Правительства Ульяновской области от 21.11.2025 № 31/660-П
"О внесении изменений в государственную программу Ульяновской области "Развитие агропромышленного комплекса, сельских территорий и регулирование рынков сельскохозяйственной продукции, сырья и продовольствия в Ульяновской области"
Номер опубликования: 7300202511260009
Дата опубликования: 26.11.2025
Страница №24 из 47:
Увеличить