Официальное опубликование правовых актов
ОФИЦИАЛЬНОЕ ОПУБЛИКОВАНИЕ
Постановление Правительства Ульяновской области от 02.12.2025 № 690-П
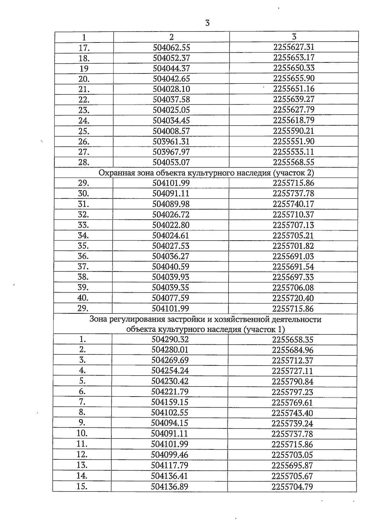
"Об утверждении границ зон охраны объекта культурного наследия регионального значения "Здание депо железнодорожной станции Ульяновск-1, где 9 мая 1919 года на собрании железнодорожников выступал М.И. Калинин", расположенного по адресу: Ульяновская область, г. Ульяновск, ул. Железнодорожная, д. 48, и требований к градостроительным регламентам в границах территорий данных зон"
Номер опубликования: 7300202512030001
Дата опубликования: 03.12.2025
Страница №4 из 12:
Увеличить