Официальное опубликование правовых актов
ОФИЦИАЛЬНОЕ ОПУБЛИКОВАНИЕ
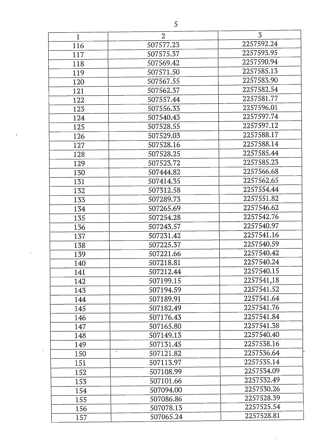
Постановление Правительства Ульяновской области от 13.02.2026 № 63-П
"Об утверждении границ территории объекта культурного наследия регионального значения "Достопримечательное место "Ярмарочный квартал", 2-я половина XIX – начало XX веков", расположенного по адресу: Ульяновская область, г. Ульяновск, Ленинский район"
Номер опубликования: 7300202602160012
Дата опубликования: 16.02.2026
Страница №6 из 7:
Увеличить