Официальное опубликование правовых актов
ОФИЦИАЛЬНОЕ ОПУБЛИКОВАНИЕ
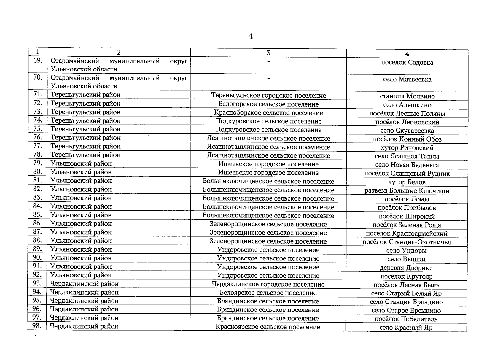
Постановление Правительства Ульяновской области от 05.03.2026 № 102-П
"О некоторых мерах, направленных на обеспечение пожарной безопасности в Ульяновской области"
Номер опубликования: 7300202603060002
Дата опубликования: 06.03.2026
Страница №6 из 22:
Увеличить