Официальное опубликование правовых актов
ОФИЦИАЛЬНОЕ ОПУБЛИКОВАНИЕ
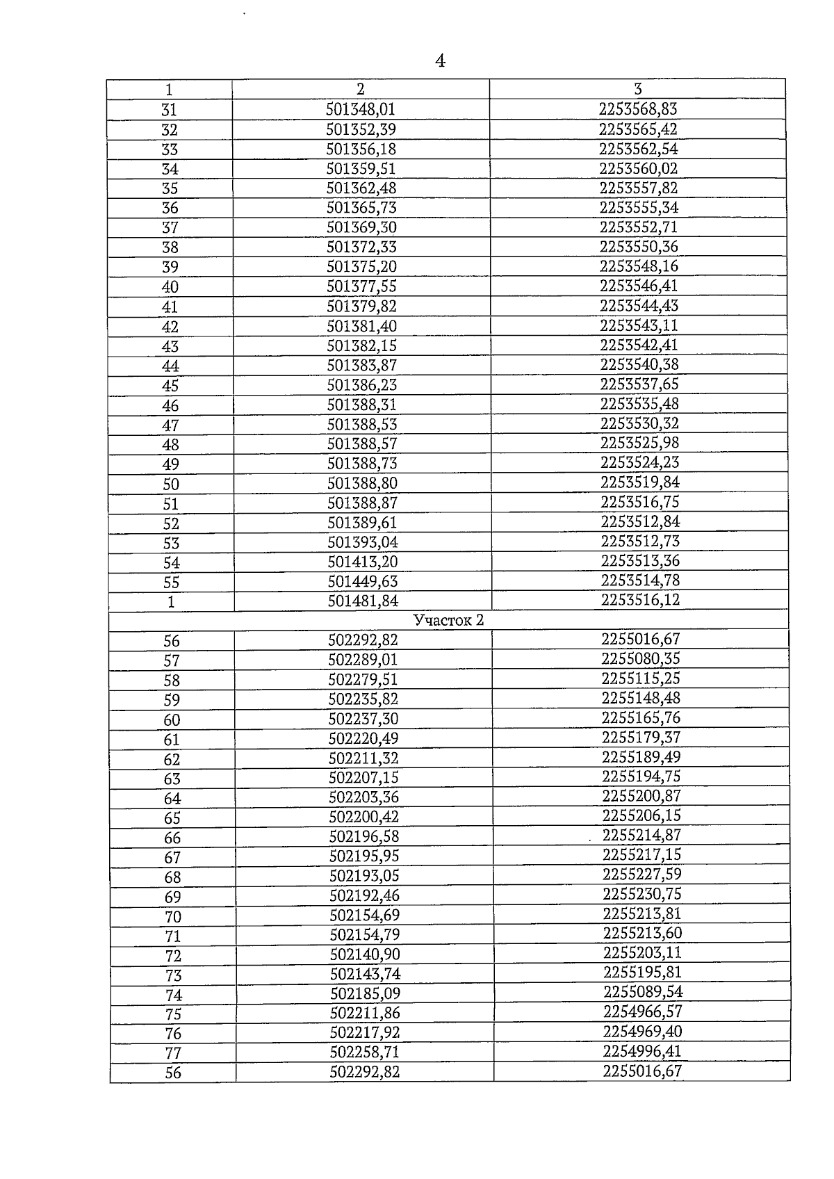
Указ Губернатора Ульяновской области от 18.03.2026 № 17
"Об установлении охранных зон отдельных особо охраняемых природных территорий регионального значения Ульяновской области, относящихся к категории памятников природы"
Номер опубликования: 7300202603200003
Дата опубликования: 20.03.2026
Страница №6 из 26:
Увеличить