Официальное опубликование правовых актов
ОФИЦИАЛЬНОЕ ОПУБЛИКОВАНИЕ
Постановление Правительства Ульяновской области от 17.04.2026 № 184-П
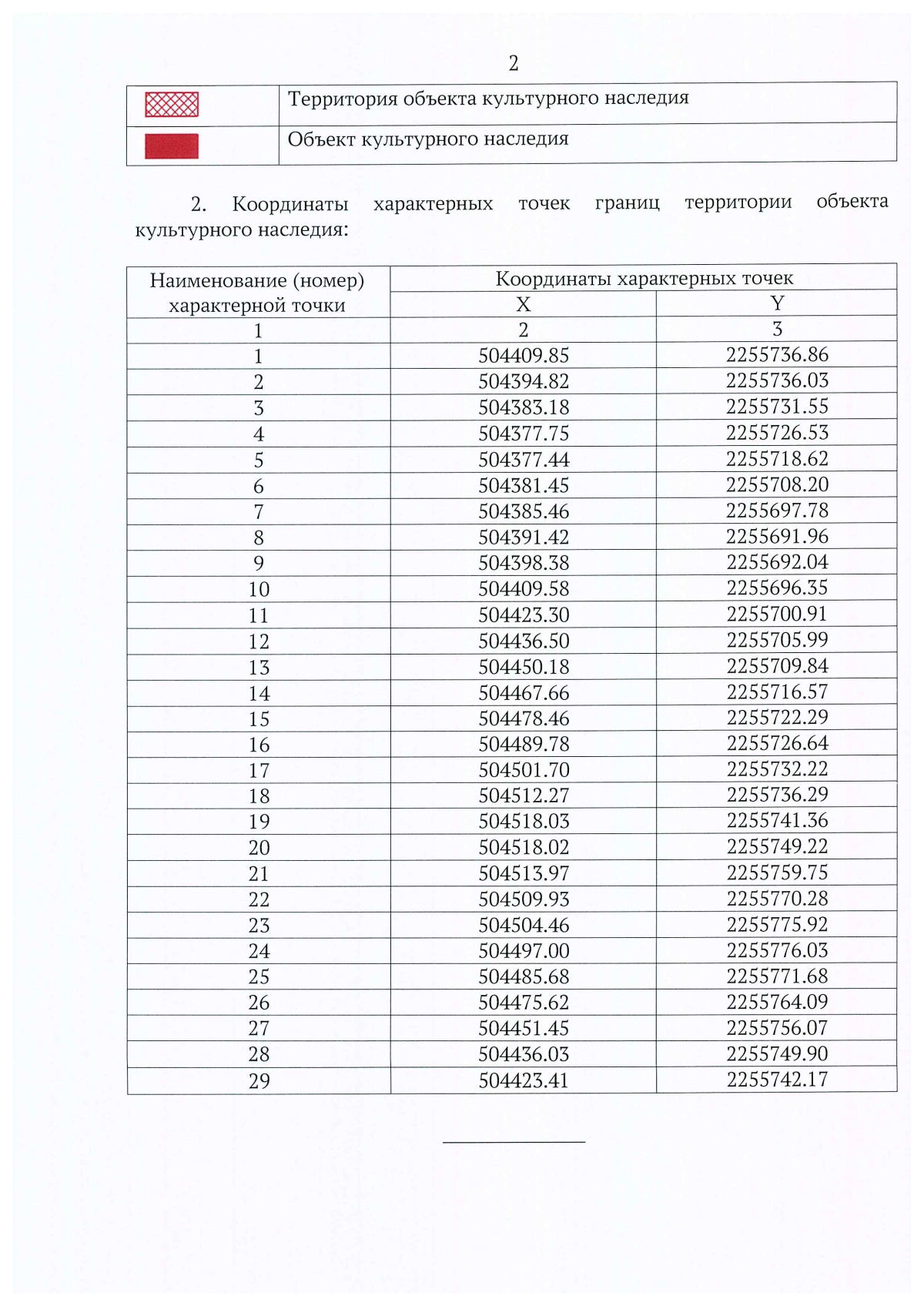
"Об утверждении границ территорий отдельных объектов культурного наследия (памятников истории и культуры) народов Российской Федерации регионального значения, расположенных на территории Ульяновской области"
Номер опубликования: 7300202604210007
Дата опубликования: 21.04.2026
Страница №6 из 22:
Увеличить