Официальное опубликование правовых актов
ОФИЦИАЛЬНОЕ ОПУБЛИКОВАНИЕ
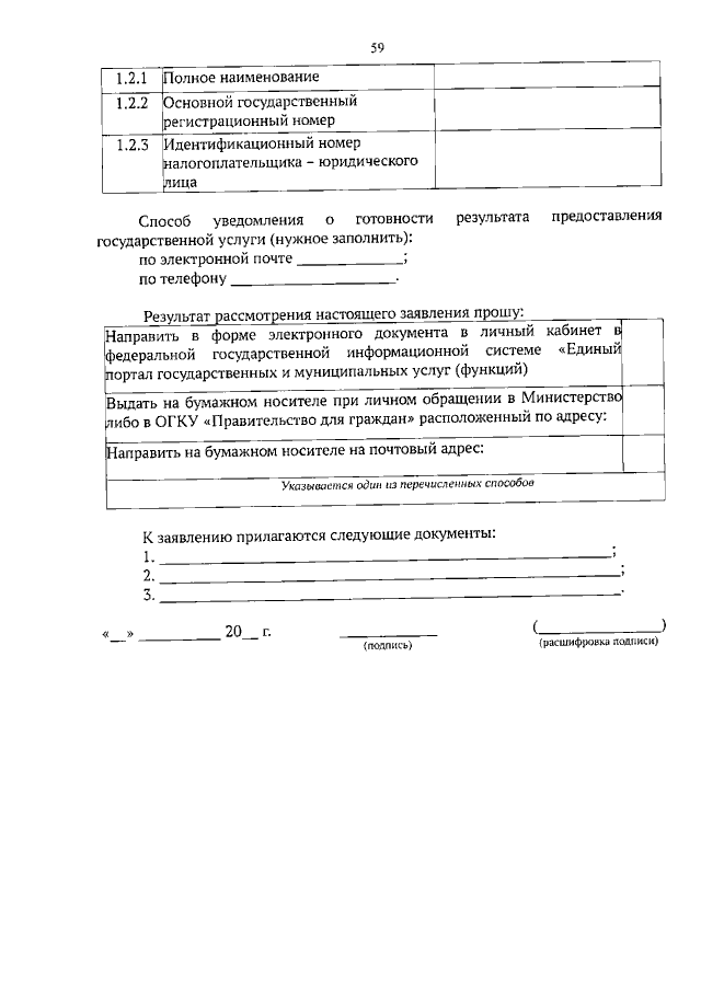
Приказ Министерства имущественных отношений и архитектуры Ульяновской области от 23.12.2022 № 275-пр
"Об утверждении Административного регламента предоставления государственной услуги "Выдача разрешений на строительство, реконструкцию объектов капитального строительства на земельных участках, расположенных на территориях двух и более муниципальных образований (муниципальных районов, городских округов) Ульяновской области"
Номер опубликования: 7301202212270006
Дата опубликования: 27.12.2022
Страница №60 из 72:
Увеличить