Официальное опубликование правовых актов
ОФИЦИАЛЬНОЕ ОПУБЛИКОВАНИЕ
Приказ Министерства искусства и культурной политики Ульяновской области от 14.08.2024 № 14
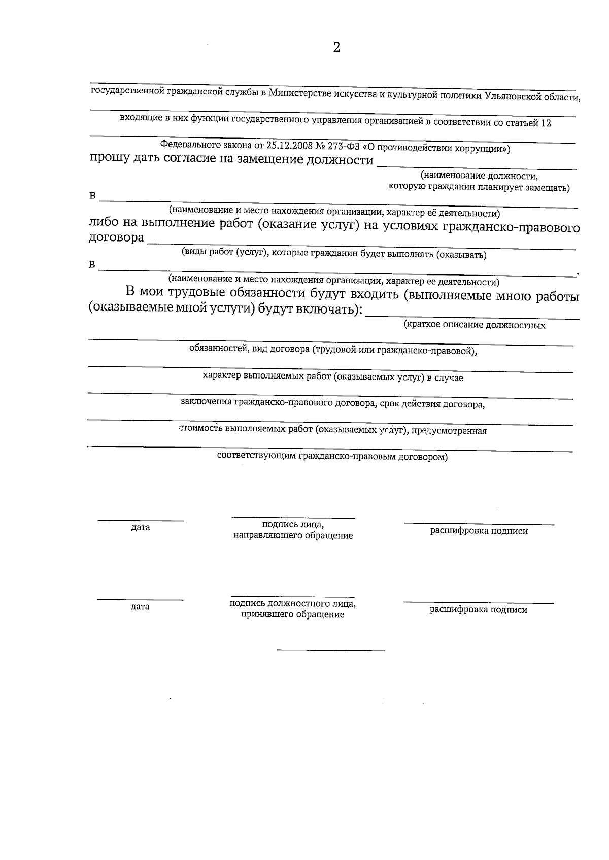
"Об утверждении положений о порядках подачи обращений, заявлений и уведомлений в комиссию по соблюдению требований к служебному поведению государственных гражданских служащих Министерства искусства и культурной политики Ульяновской области и урегулированию конфликта интересов"
(Зарегистрирован 14.08.2024 № ГР-04/14)
Номер опубликования: 7301202408140015
Дата опубликования: 14.08.2024
Страница №6 из 22:
Увеличить