Официальное опубликование правовых актов
ОФИЦИАЛЬНОЕ ОПУБЛИКОВАНИЕ
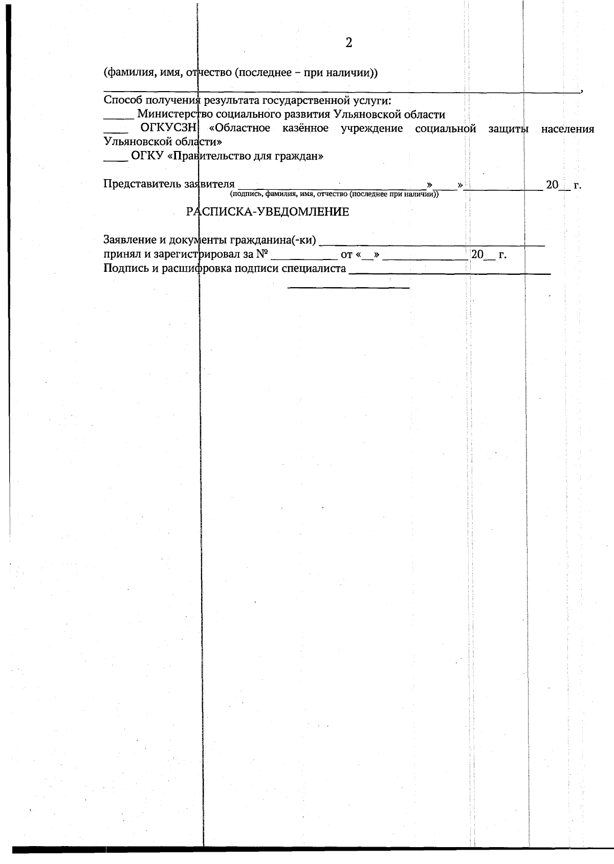
Приказ Министерства социального развития Ульяновской области от 29.11.2024 № 144-п
"Об утверждении административного регламента предоставления Министерством социального развития Ульяновской области государственной услуги "Назначение и выплата пособия на ребёнка в Ульяновской области"
(Зарегистрирован 29.11.2024 № ГР-12/144)
Номер опубликования: 7301202412020010
Дата опубликования: 02.12.2024
Страница №68 из 71:
Увеличить