Официальное опубликование правовых актов
ОФИЦИАЛЬНОЕ ОПУБЛИКОВАНИЕ
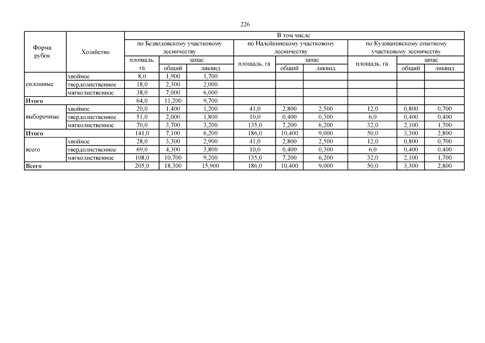
Приказ Министерства природных ресурсов и экологии Ульяновской области от 21.07.2025 № 23
"О внесении изменений в лесохозяйственный регламент Кузоватовского лесничества Ульяновской области"
Номер опубликования: 7301202507240003
Дата опубликования: 24.07.2025
Страница №226 из 229:
Увеличить