Официальное опубликование правовых актов
ОФИЦИАЛЬНОЕ ОПУБЛИКОВАНИЕ
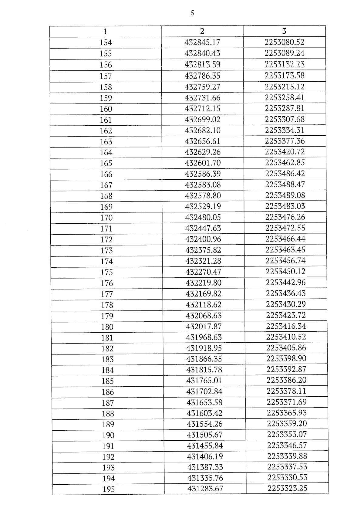
Приказ Министерства имущественных отношений, градостроительной деятельности и цифрового развития Ульяновской области от 04.02.2026 № 34-пр
"Об утверждении границы охранной зоны газопровода межпоселкового р.п. Тереньга – с. Гавриловка с ответвлением на с. Гладчиха Тереньгульского района Ульяновской области, протяженностью 23375 м, местоположение: Российская Федерация, Ульяновская область, Тереньгульский район и наложении ограничений (обременений) на входящие в неё земельные участки"
Номер опубликования: 7301202602090007
Дата опубликования: 09.02.2026
Страница №7 из 29:
Увеличить