Официальное опубликование правовых актов
ОФИЦИАЛЬНОЕ ОПУБЛИКОВАНИЕ
Постановление Правительства Челябинской области от 15.07.2015 № 360-П
"О внесении изменений в постановление Правительства Челябинской области от 19.11.2014 г. № 596-П"
Номер опубликования: 7400201507160013
Дата опубликования: 16.07.2015
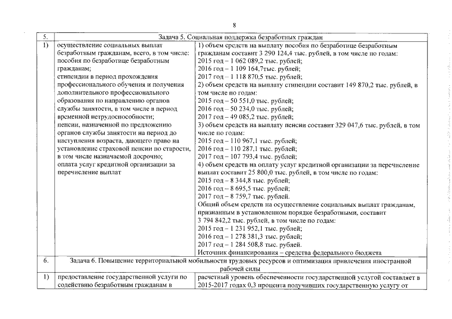
Страница №30 из 33:
Увеличить