Официальное опубликование правовых актов
ОФИЦИАЛЬНОЕ ОПУБЛИКОВАНИЕ
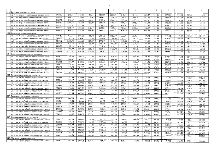
Постановление Правительства Челябинской области от 12.08.2015 № 415-П
"О внесении изменения в постановление Правительства Челябинской области от 06.05.2015 г. № 216-П"
Номер опубликования: 7400201508140013
Дата опубликования: 14.08.2015
Страница №20 из 48:
Увеличить