Официальное опубликование правовых актов
ОФИЦИАЛЬНОЕ ОПУБЛИКОВАНИЕ
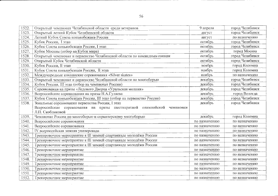
Постановление Губернатора Челябинской области от 08.12.2015 № 320
"О едином областном календарном плане официальных физкультурных мероприятий и спортивных мероприятий на 2016 год"
Номер опубликования: 7400201512100003
Дата опубликования: 10.12.2015
Страница №57 из 238:
Увеличить