Официальное опубликование правовых актов
ОФИЦИАЛЬНОЕ ОПУБЛИКОВАНИЕ
Постановление Правительства Челябинской области от 24.05.2016 № 281-П
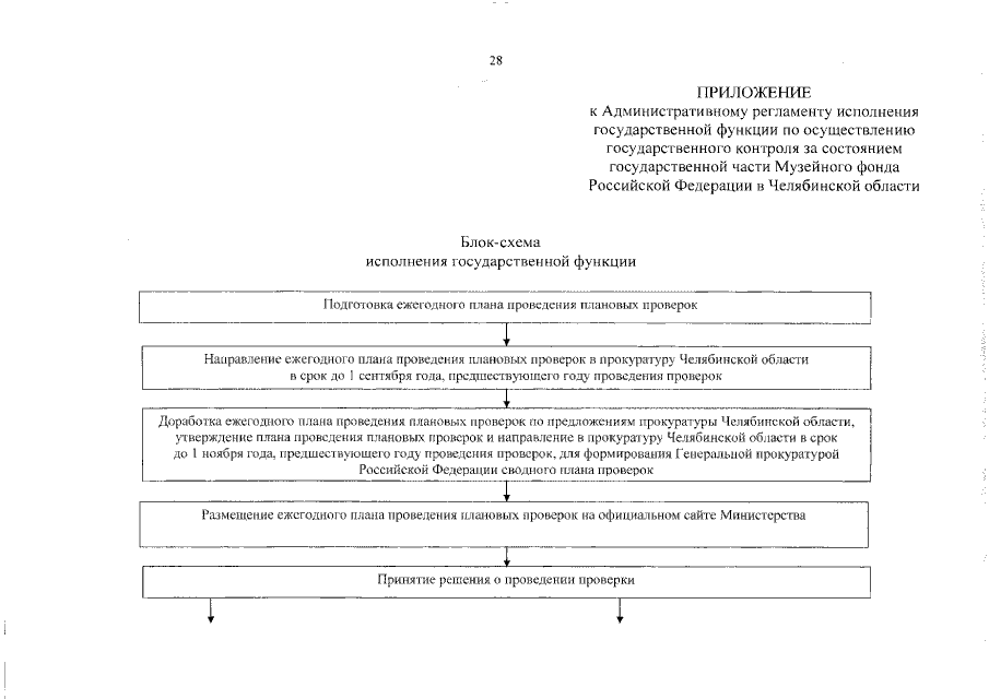
"Об Административном регламенте исполнения государственной функции по осуществлению государственного контроля за состоянием государственной части Музейного фонда Российской Федерации в Челябинской области"
Номер опубликования: 7400201605300005
Дата опубликования: 30.05.2016
Страница №30 из 31:
Увеличить