Официальное опубликование правовых актов
ОФИЦИАЛЬНОЕ ОПУБЛИКОВАНИЕ
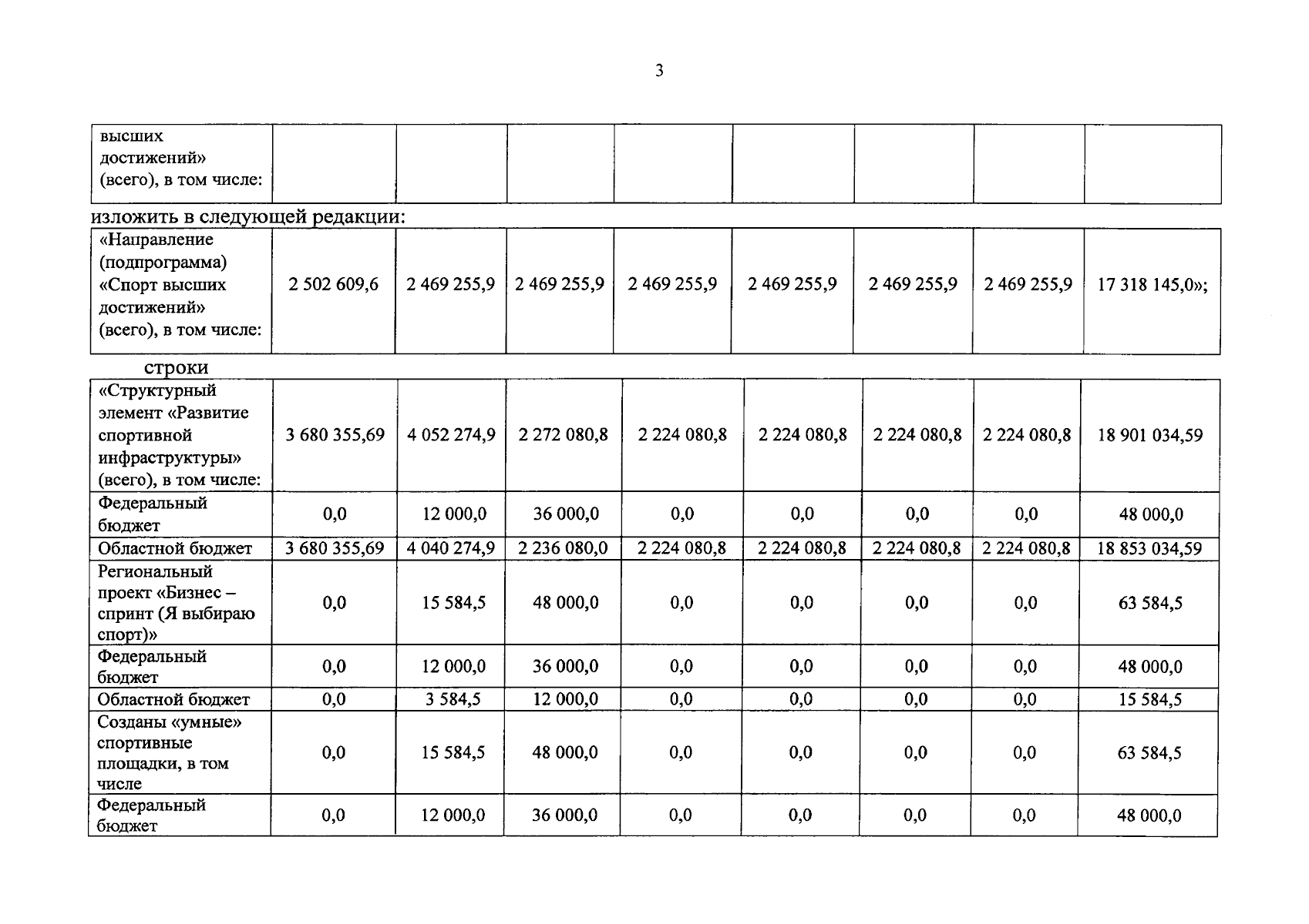
Постановление Правительства Челябинской области от 08.07.2024 № 419-П
"О внесении изменений в постановление Правительства Челябинской области от 25.12.2020 г. № 733-П"
Номер опубликования: 7400202407100005
Дата опубликования: 10.07.2024
Страница №4 из 12:
Увеличить