Официальное опубликование правовых актов
ОФИЦИАЛЬНОЕ ОПУБЛИКОВАНИЕ
Постановление Правительства Челябинской области от 26.12.2024 № 752-П
"О внесении изменений в постановление Правительства Челябинской области от 27.06.2024 г. № 399-П"
Номер опубликования: 7400202412270020
Дата опубликования: 27.12.2024
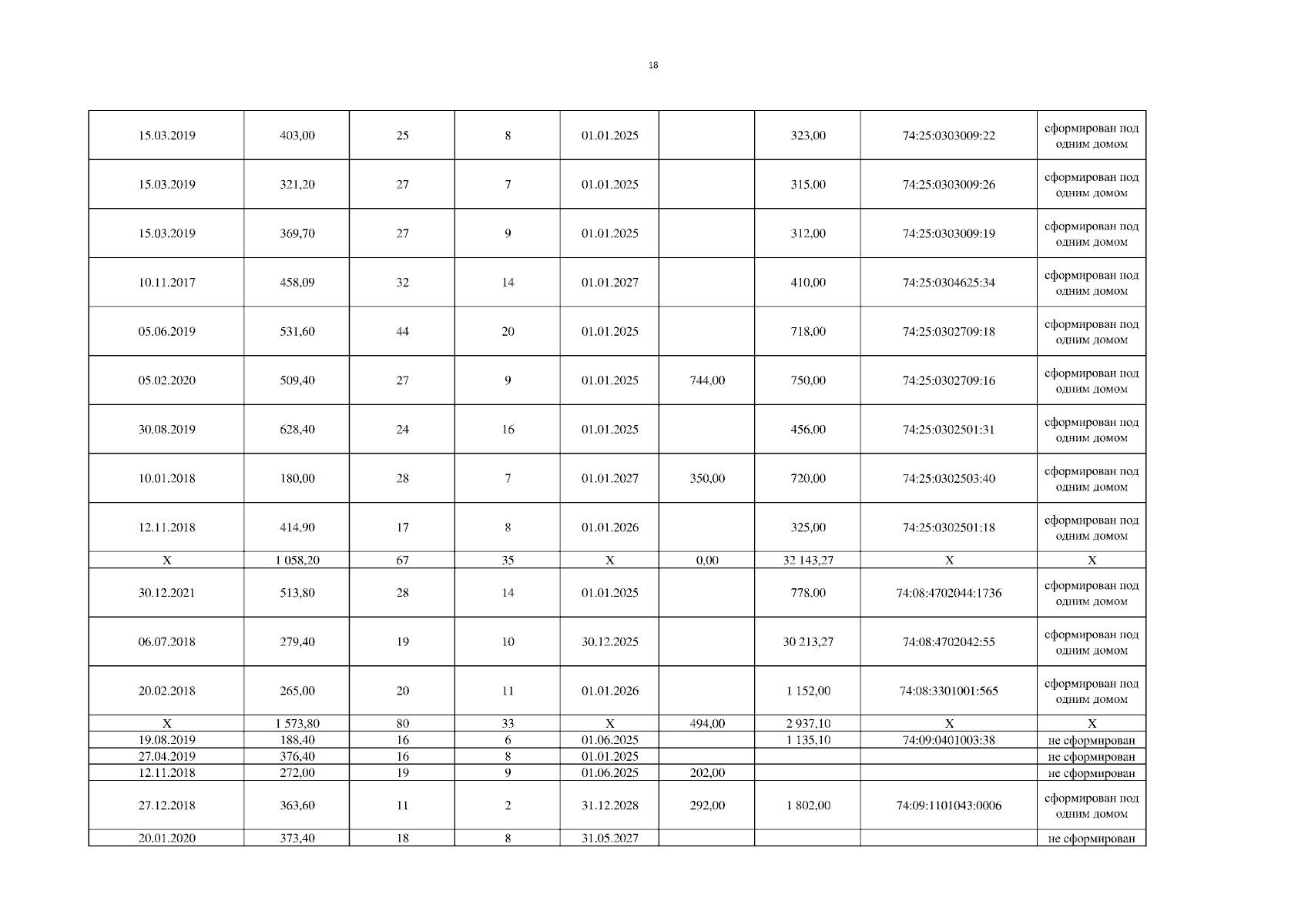
Страница №20 из 79:
Увеличить