Официальное опубликование правовых актов
ОФИЦИАЛЬНОЕ ОПУБЛИКОВАНИЕ
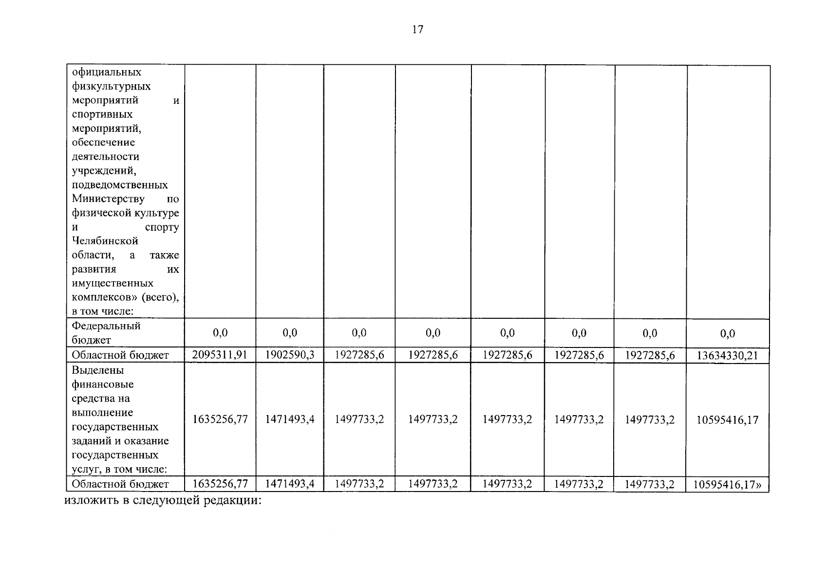
Постановление Правительства Челябинской области от 29.01.2025 № 59-П
"О внесении изменений в постановление Правительства Челябинской области от 25.12.2020 г. № 733-П"
Номер опубликования: 7400202501300001
Дата опубликования: 30.01.2025
Страница №18 из 26:
Увеличить