Официальное опубликование правовых актов
ОФИЦИАЛЬНОЕ ОПУБЛИКОВАНИЕ
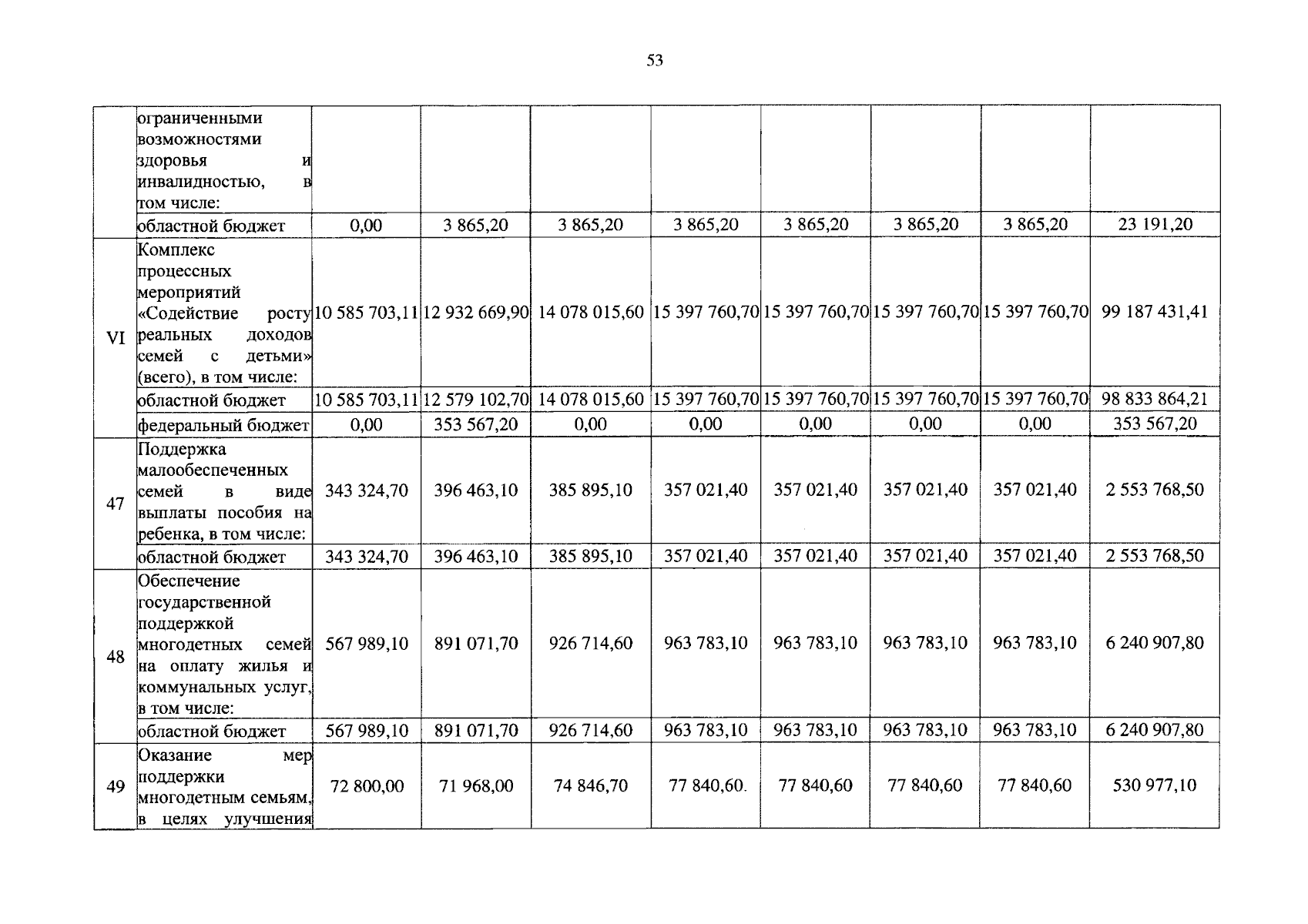
Постановление Правительства Челябинской области от 12.02.2025 № 153-П
"О внесении изменений в постановление Правительства Челябинской области от 17.12.2020 г. № 689-П"
Номер опубликования: 7400202502130004
Дата опубликования: 13.02.2025
Страница №54 из 131:
Увеличить