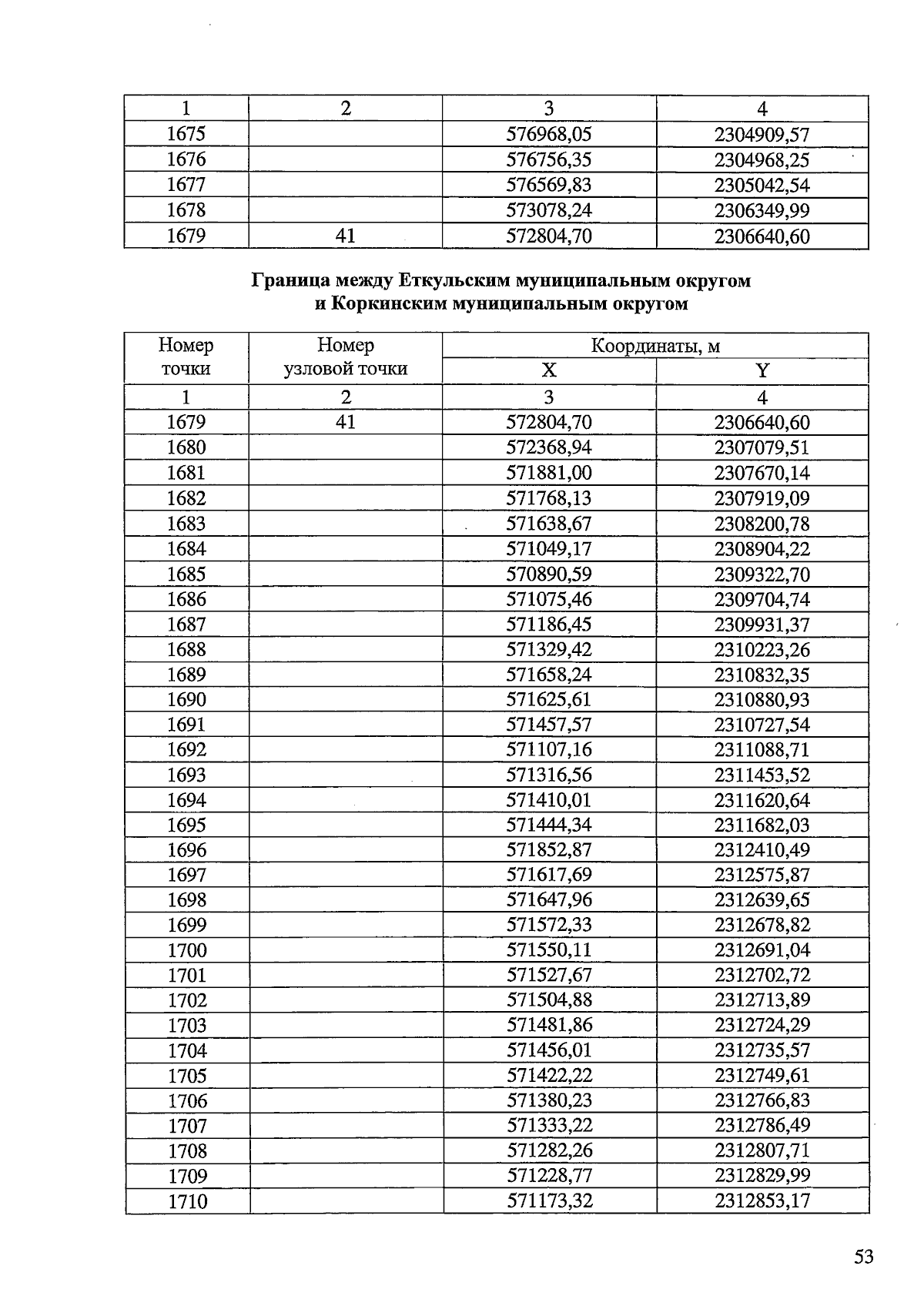
Закон Челябинской области от 28.03.2025 № 50-ЗО
"О статусе и границах Еткульского муниципального округа Челябинской области"
"О статусе и границах Еткульского муниципального округа Челябинской области"
Номер опубликования: 7400202503280022
Дата опубликования:
28.03.2025
