Официальное опубликование правовых актов
ОФИЦИАЛЬНОЕ ОПУБЛИКОВАНИЕ
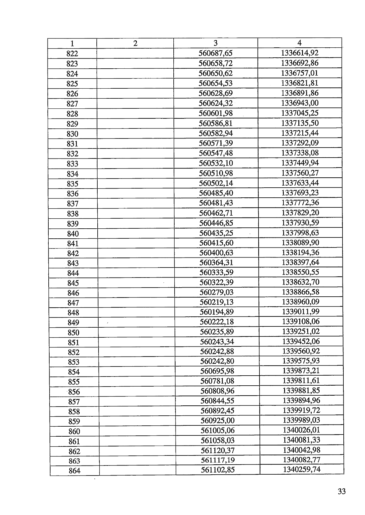
Закон Челябинской области от 28.03.2025 № 53-ЗО
"О статусе и границах Катав-Ивановского муниципального округа Челябинской области"
Номер опубликования: 7400202503280025
Дата опубликования: 28.03.2025
Страница №33 из 79:
Увеличить