Официальное опубликование правовых актов
ОФИЦИАЛЬНОЕ ОПУБЛИКОВАНИЕ
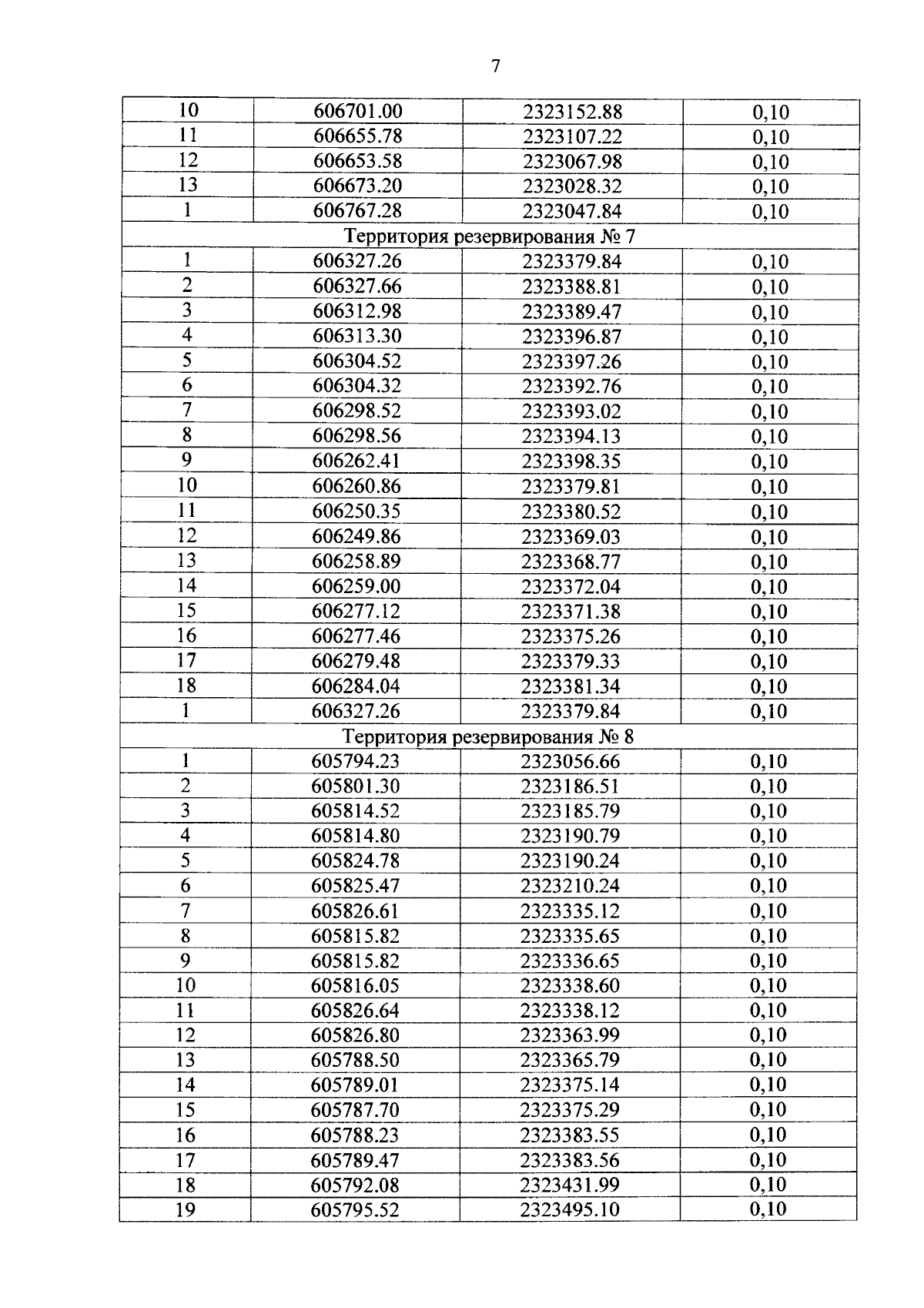
Распоряжение Правительства Челябинской области от 12.05.2025 № 478-рп
"О внесении изменения в распоряжение Правительства Челябинской области от 07.11.2023 г. № 1044-рп"
Номер опубликования: 7400202505130002
Дата опубликования: 13.05.2025
Страница №8 из 15:
Увеличить