Официальное опубликование правовых актов
ОФИЦИАЛЬНОЕ ОПУБЛИКОВАНИЕ
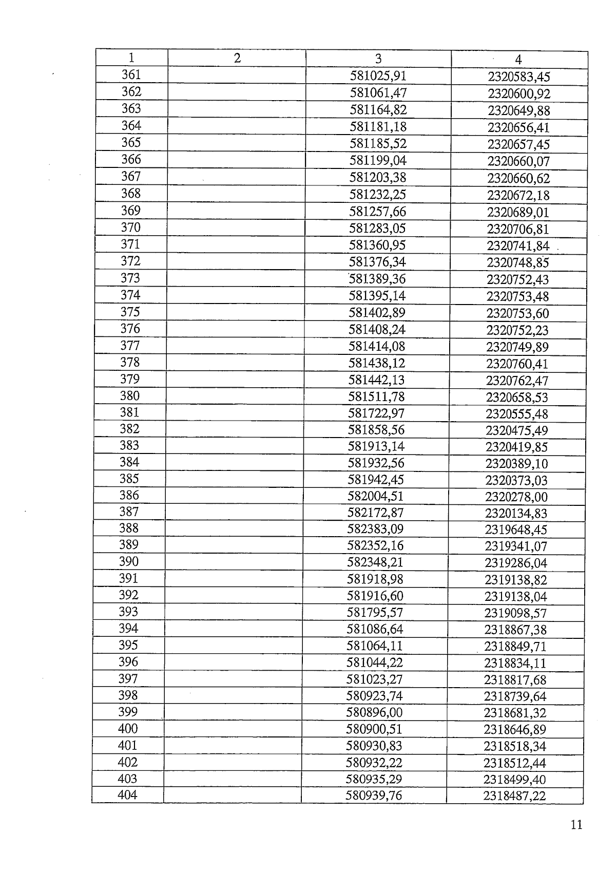
Закон Челябинской области от 03.06.2025 № 95-ЗО
"О внесении изменений в Закон Челябинской области "О статусе и границах Коркинского муниципального округа Челябинской области"
Номер опубликования: 7400202506040005
Дата опубликования: 04.06.2025
Страница №11 из 15:
Увеличить