Официальное опубликование правовых актов
ОФИЦИАЛЬНОЕ ОПУБЛИКОВАНИЕ
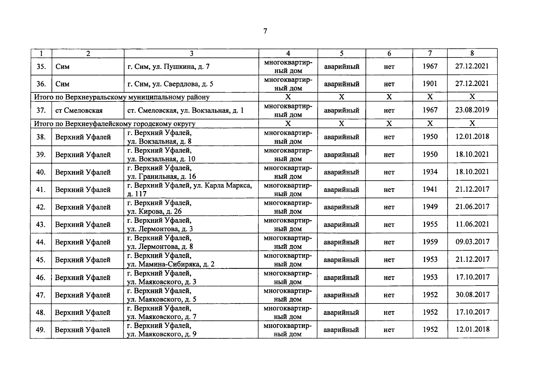
Постановление Правительства Челябинской области от 07.07.2025 № 522-П
"О внесении изменений в постановление Правительства Челябинской области от 27.06.2024 г. № 399-П"
Номер опубликования: 7400202507080007
Дата опубликования: 08.07.2025
Страница №11 из 90:
Увеличить