Официальное опубликование правовых актов
ОФИЦИАЛЬНОЕ ОПУБЛИКОВАНИЕ
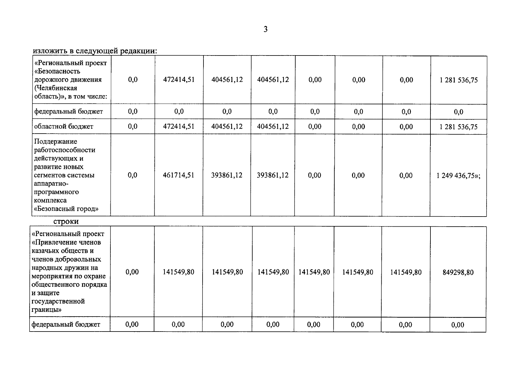
Постановление Правительства Челябинской области от 29.08.2025 № 619-П
"О внесении изменений в постановление Правительства Челябинской области от 30.12.2019 г. № 628-П"
Номер опубликования: 7400202509010003
Дата опубликования: 01.09.2025
Страница №5 из 11:
Увеличить