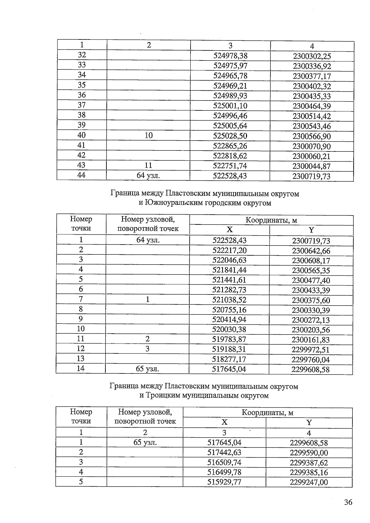
Закон Челябинской области от 04.09.2025 № 150-ЗО
"О внесении изменений в некоторые законы Челябинской области"
"О внесении изменений в некоторые законы Челябинской области"
Номер опубликования: 7400202509040006
Дата опубликования:
04.09.2025
