Официальное опубликование правовых актов
ОФИЦИАЛЬНОЕ ОПУБЛИКОВАНИЕ
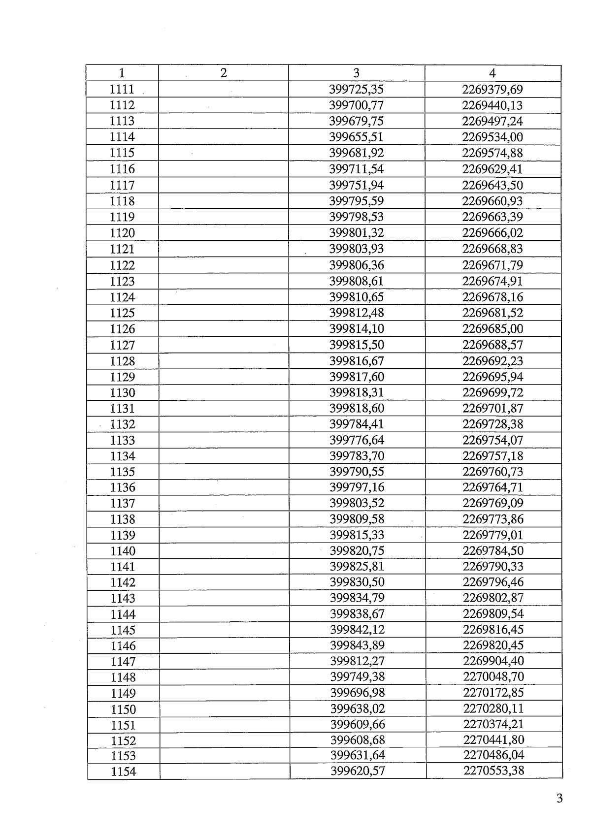
Закон Челябинской области от 04.09.2025 № 152-ЗО
"О внесении изменений в Закон Челябинской области "О статусе и границах Карталинского муниципального округа Челябинской области"
Номер опубликования: 7400202509040009
Дата опубликования: 04.09.2025
Страница №3 из 15:
Увеличить