Официальное опубликование правовых актов
ОФИЦИАЛЬНОЕ ОПУБЛИКОВАНИЕ
Постановление Правительства Челябинской области от 05.09.2025 № 630-П
"О внесении изменений в постановление Правительства Челябинской области от 27.06.2024 г. № 399-П"
Номер опубликования: 7400202509100001
Дата опубликования: 10.09.2025
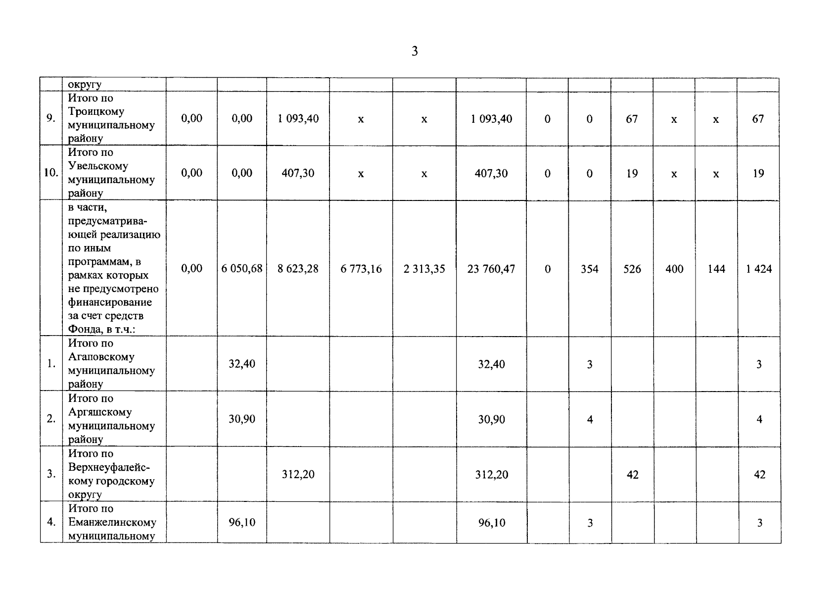
Страница №96 из 98:
Увеличить