Официальное опубликование правовых актов
ОФИЦИАЛЬНОЕ ОПУБЛИКОВАНИЕ
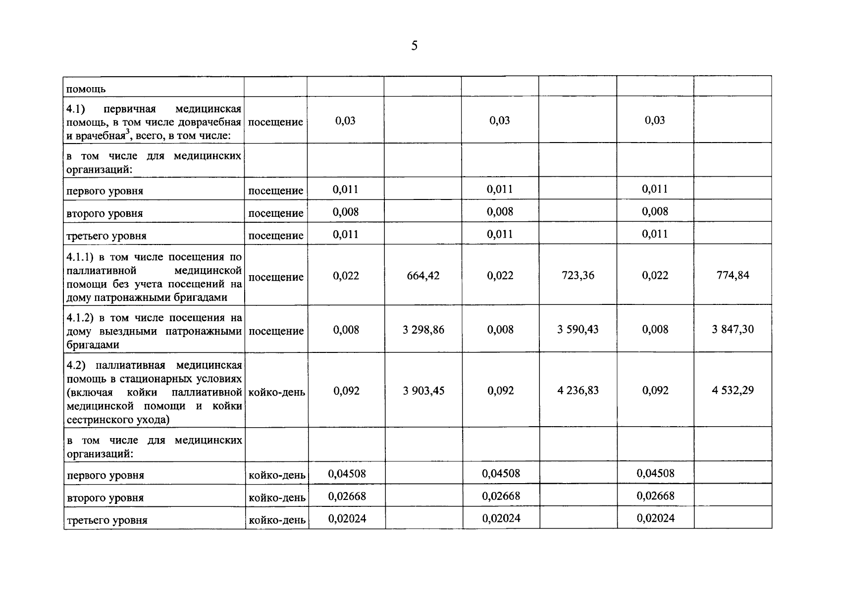
Постановление Правительства Челябинской области от 10.09.2025 № 639-П
"О внесении изменений в постановление Правительства Челябинской области от 19.12.2024 г. № 719-П"
Номер опубликования: 7400202509160001
Дата опубликования: 16.09.2025
Страница №130 из 164:
Увеличить