Официальное опубликование правовых актов
ОФИЦИАЛЬНОЕ ОПУБЛИКОВАНИЕ
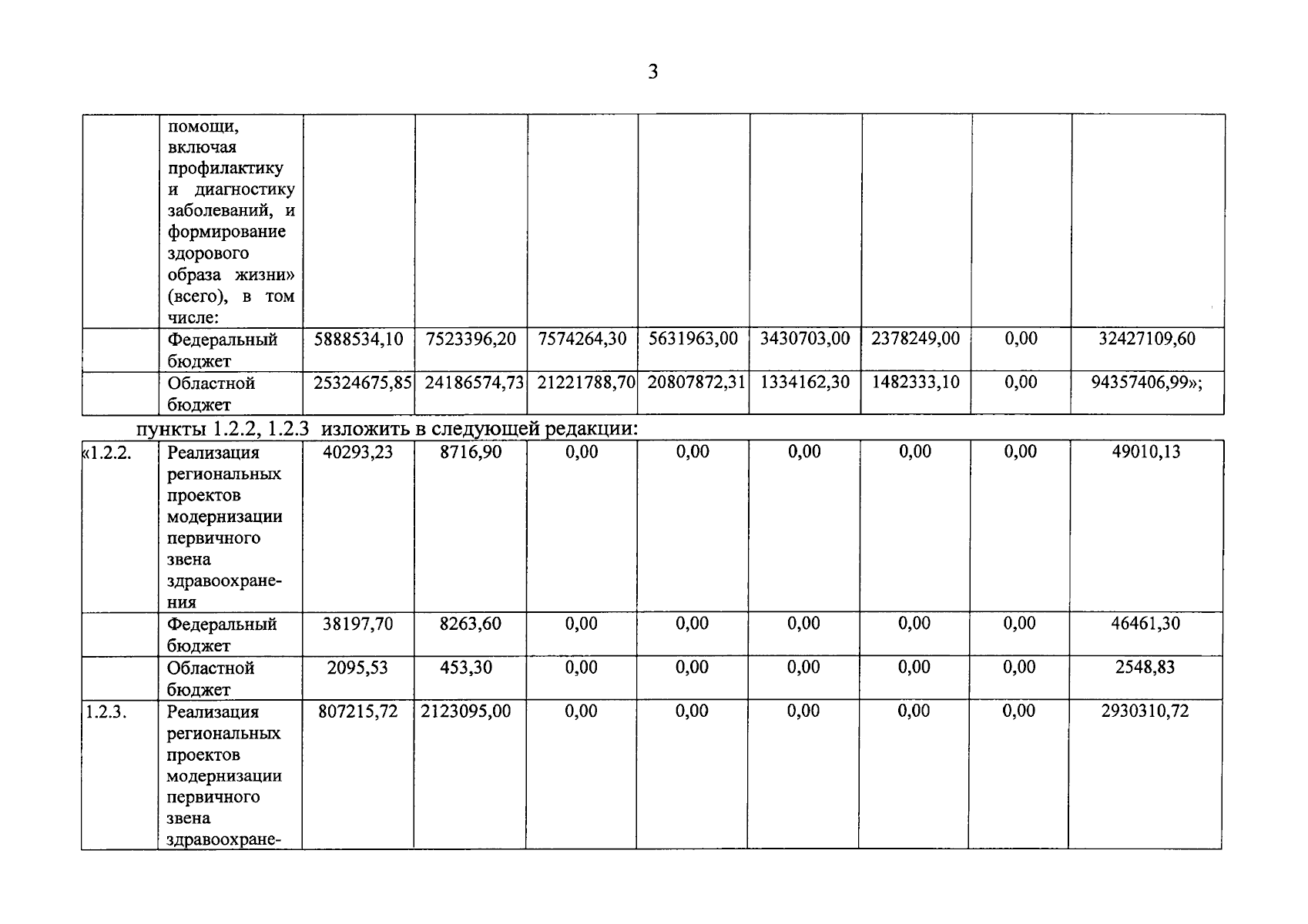
Постановление Правительства Челябинской области от 26.09.2025 № 664-П
"О внесении изменений в постановление Правительства Челябинской области от 11.12.2020 г. № 675-П"
Номер опубликования: 7400202509290004
Дата опубликования: 29.09.2025
Страница №5 из 34:
Увеличить