Официальное опубликование правовых актов
ОФИЦИАЛЬНОЕ ОПУБЛИКОВАНИЕ
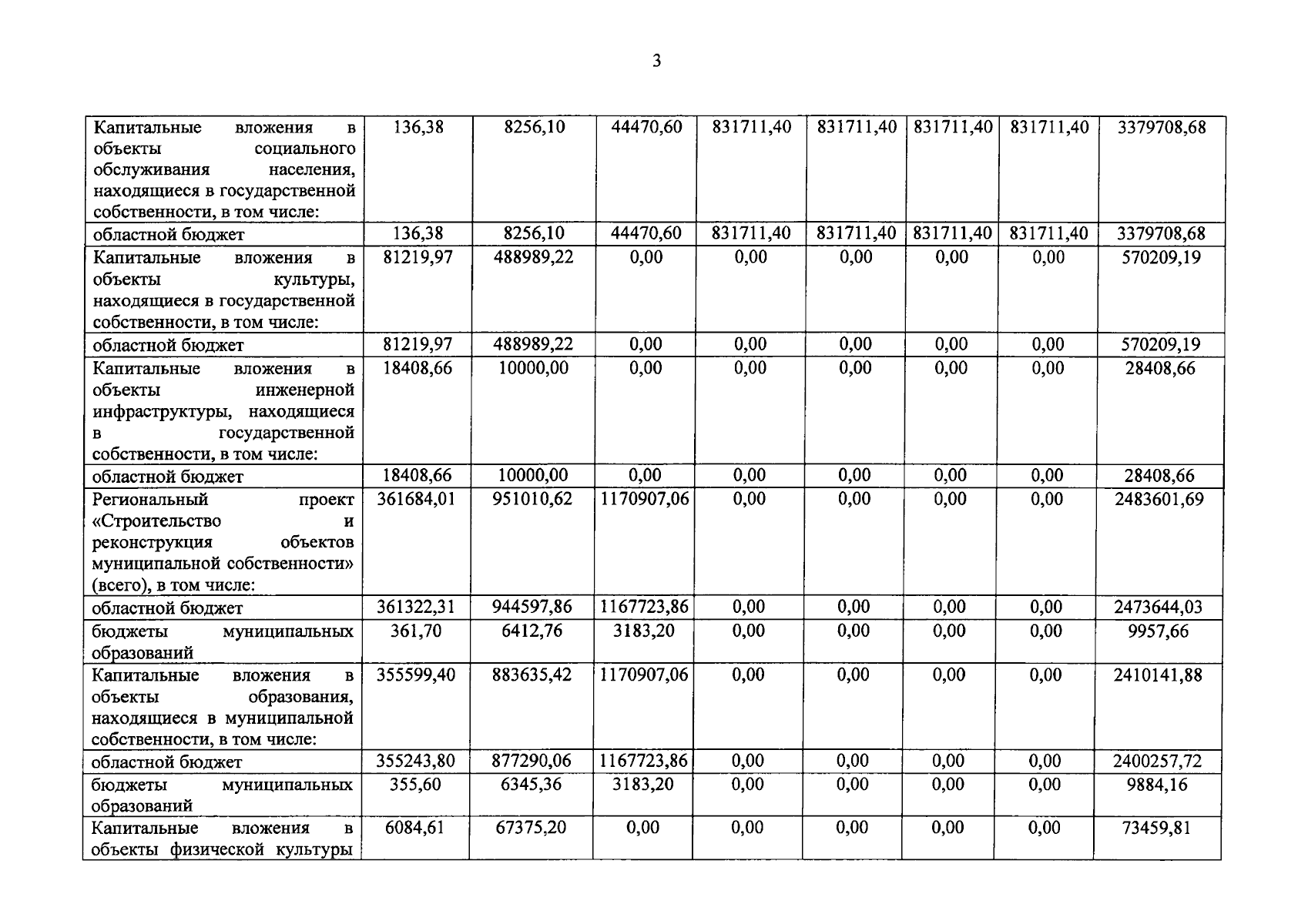
Постановление Правительства Челябинской области от 14.11.2025 № 745-П
"О внесении изменений в постановление Правительства Челябинской области от 25.12.2020 г. № 732-П"
Номер опубликования: 7400202511170008
Дата опубликования: 17.11.2025
Страница №4 из 8:
Увеличить