Официальное опубликование правовых актов
ОФИЦИАЛЬНОЕ ОПУБЛИКОВАНИЕ
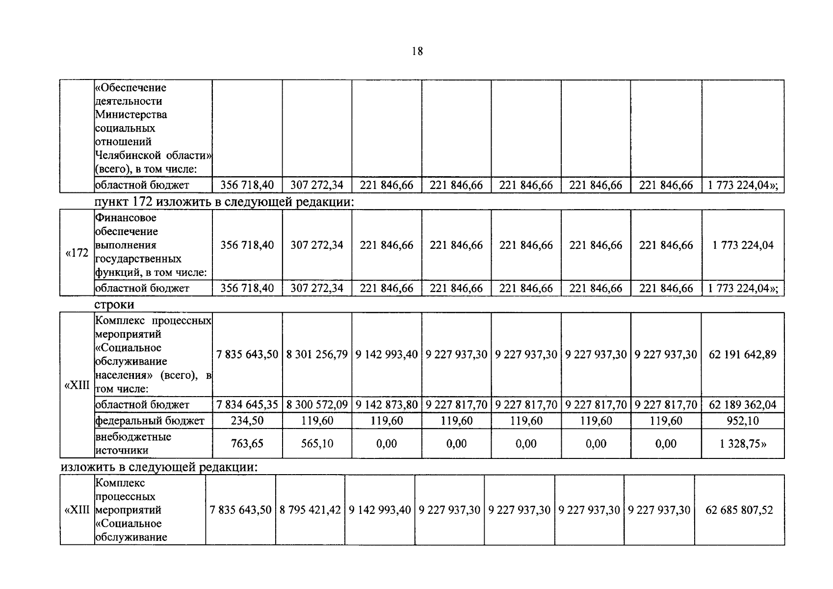
Постановление Правительства Челябинской области от 28.11.2025 № 773-П
"О внесении изменений в постановление Правительства Челябинской области от 17.12.2020 г. № 689-П"
Номер опубликования: 7400202512020002
Дата опубликования: 02.12.2025
Страница №19 из 22:
Увеличить