Официальное опубликование правовых актов
ОФИЦИАЛЬНОЕ ОПУБЛИКОВАНИЕ
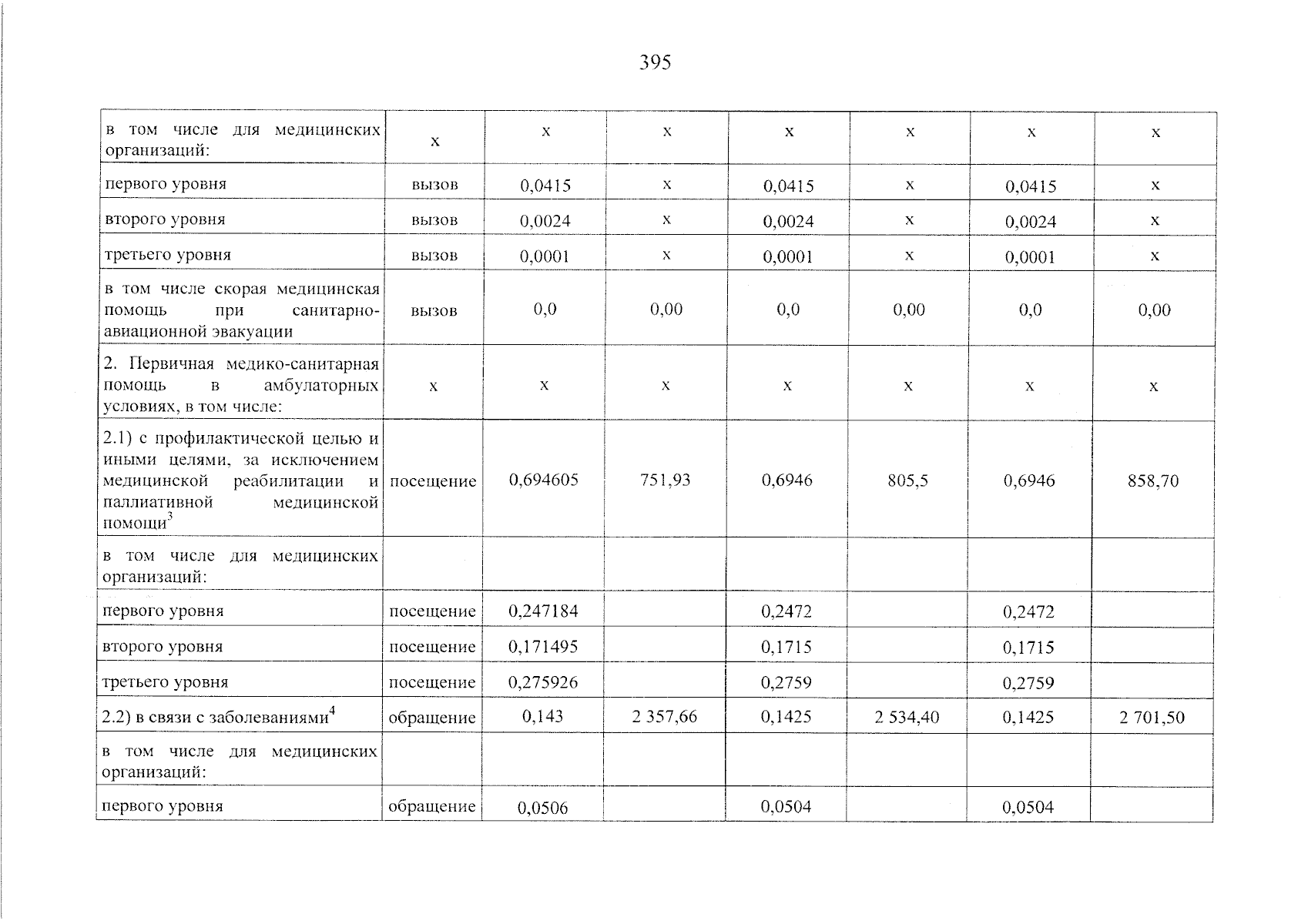
Постановление Правительства Челябинской области от 19.12.2025 № 826-П
"О Территориальной программе государственных гарантий бесплатного оказания гражданам медицинской помощи в Челябинской области на 2026 год и на плановый период 2027 и 2028 годов"
Номер опубликования: 7400202512230001
Дата опубликования: 23.12.2025
Страница №396 из 438:
Увеличить