Официальное опубликование правовых актов
ОФИЦИАЛЬНОЕ ОПУБЛИКОВАНИЕ
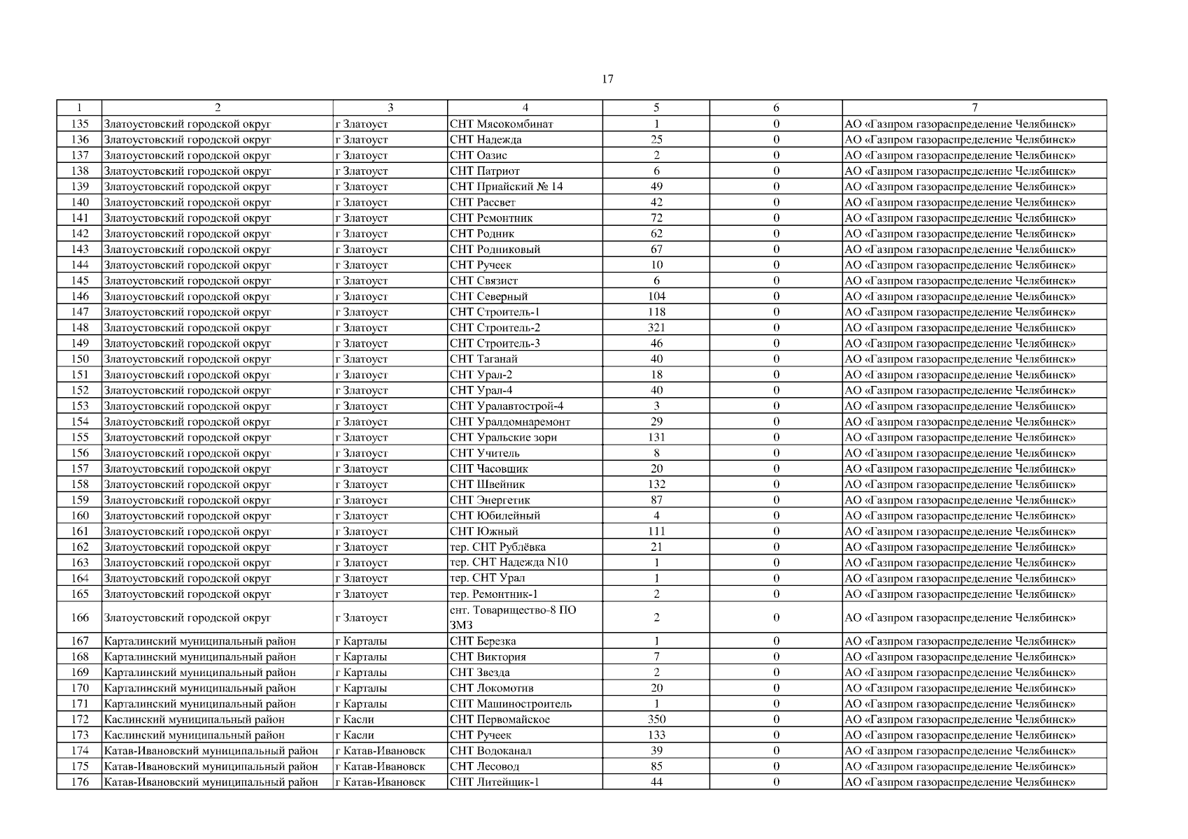
Постановление Правительства Челябинской области от 27.01.2026 № 52-П
"О внесении изменений в постановление Правительства Челябинской области от 20.09.2017 г. № 474-П"
Номер опубликования: 7400202601280013
Дата опубликования: 28.01.2026
Страница №7101 из 7164:
Увеличить