Официальное опубликование правовых актов
ОФИЦИАЛЬНОЕ ОПУБЛИКОВАНИЕ
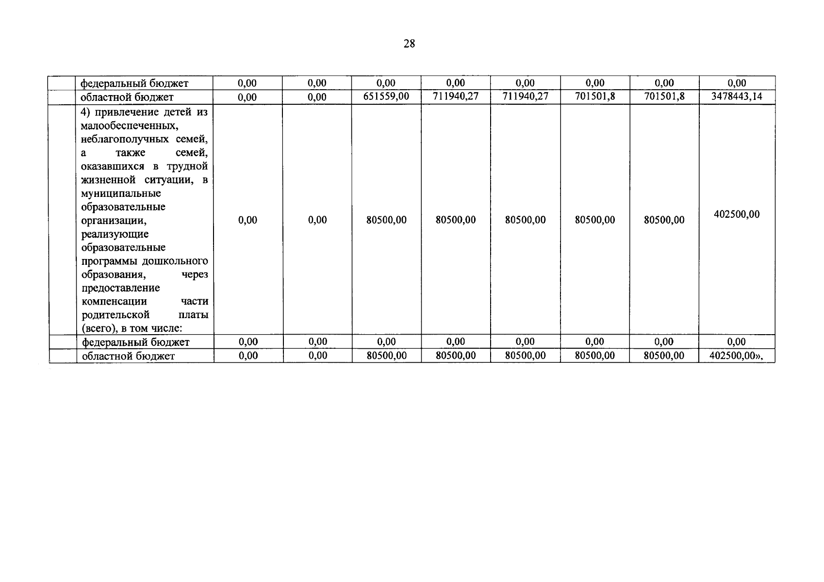
Постановление Правительства Челябинской области от 28.01.2026 № 62-П
"О внесении изменений в постановление Правительства Челябинской области от 29.10.2014 г. № 522-П"
Номер опубликования: 7400202601290009
Дата опубликования: 29.01.2026
Страница №30 из 34:
Увеличить