Официальное опубликование правовых актов
ОФИЦИАЛЬНОЕ ОПУБЛИКОВАНИЕ
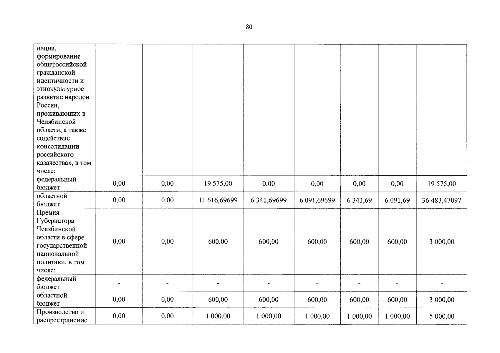
Постановление Правительства Челябинской области от 29.01.2026 № 73-П
"О внесении изменений в постановление Правительства Челябинской области от 27.12.2021 г. № 701-П"
Номер опубликования: 7400202601300004
Дата опубликования: 30.01.2026
Страница №81 из 102:
Увеличить