Официальное опубликование правовых актов
ОФИЦИАЛЬНОЕ ОПУБЛИКОВАНИЕ
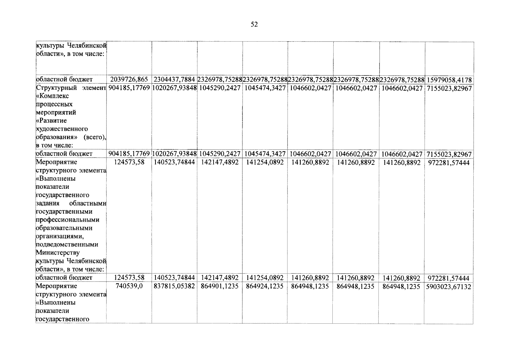
Постановление Правительства Челябинской области от 29.01.2026 № 77-П
"О внесении изменений в постановление Правительства Челябинской области от 16.12.2020 г. № 684-П"
Номер опубликования: 7400202601300006
Дата опубликования: 30.01.2026
Страница №53 из 178:
Увеличить