Официальное опубликование правовых актов
ОФИЦИАЛЬНОЕ ОПУБЛИКОВАНИЕ
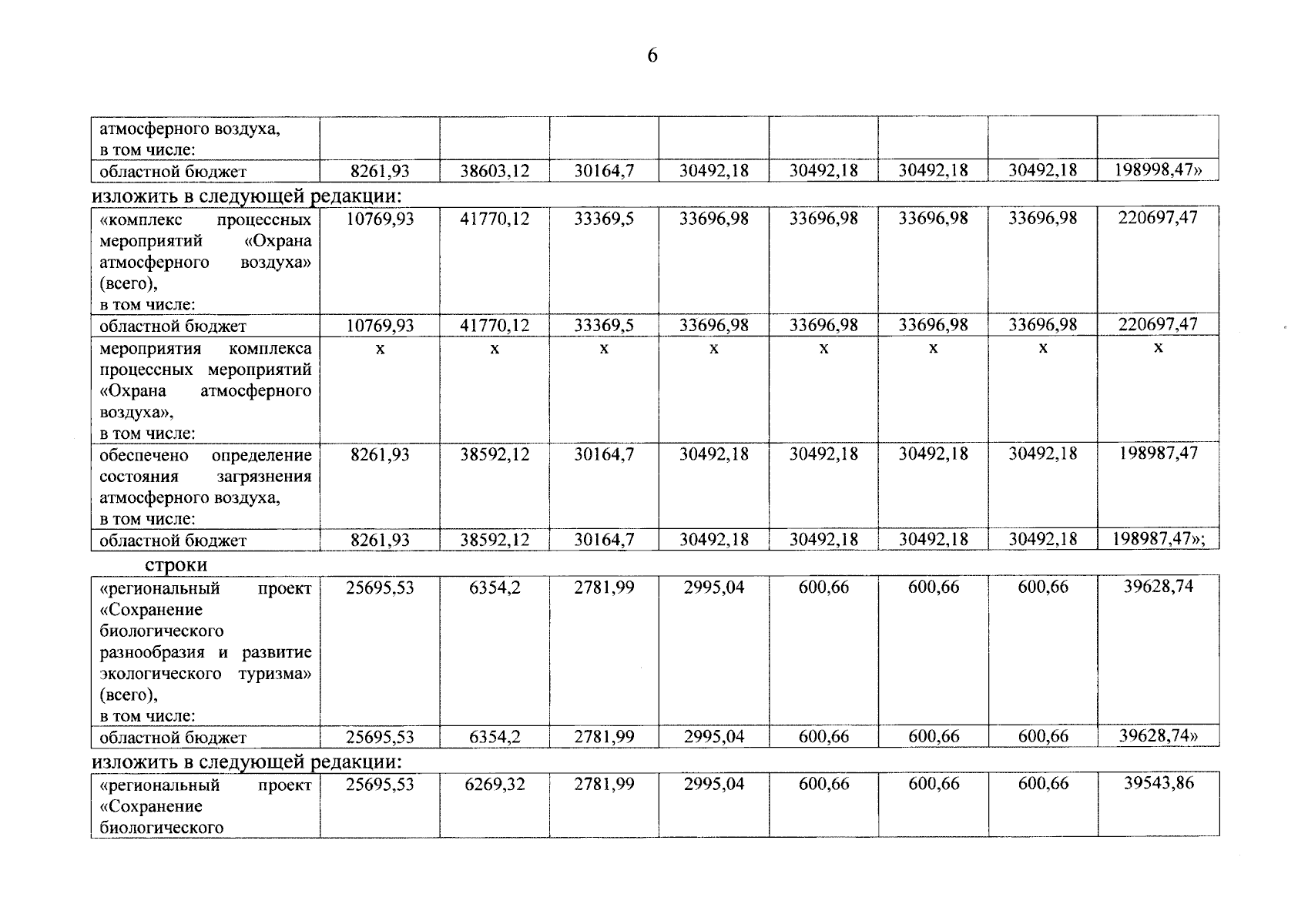
Постановление Правительства Челябинской области от 20.02.2026 № 139-П
"О внесении изменений в постановление Правительства Челябинской области от 30.12.2019 г. № 627-П"
Номер опубликования: 7400202602250001
Дата опубликования: 25.02.2026
Страница №8 из 13:
Увеличить