Официальное опубликование правовых актов
ОФИЦИАЛЬНОЕ ОПУБЛИКОВАНИЕ
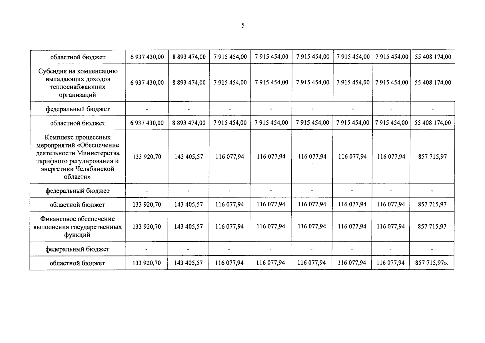
Постановление Правительства Челябинской области от 12.03.2026 № 189-П
"О внесении изменений в постановление Правительства Челябинской области от 09.12.2020 г. № 663-П"
Номер опубликования: 7400202603130009
Дата опубликования: 13.03.2026
Страница №6 из 6:
Увеличить