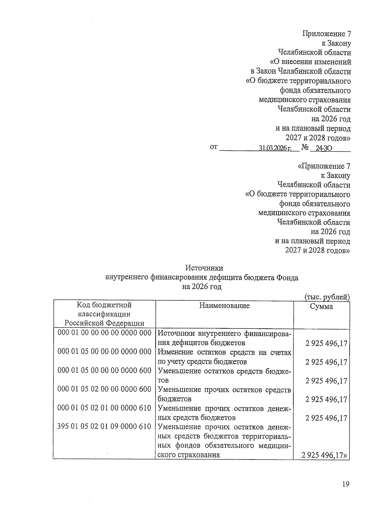
Закон Челябинской области от 31.03.2026 № 24-ЗО
"О внесении изменений в Закон Челябинской области "О бюджете территориального фонда обязательного медицинского страхования Челябинской области на 2026 год и на плановый период 2027 и 2028 годов"
"О внесении изменений в Закон Челябинской области "О бюджете территориального фонда обязательного медицинского страхования Челябинской области на 2026 год и на плановый период 2027 и 2028 годов"
Номер опубликования: 7400202603310010
Дата опубликования:
31.03.2026
