Официальное опубликование правовых актов
ОФИЦИАЛЬНОЕ ОПУБЛИКОВАНИЕ
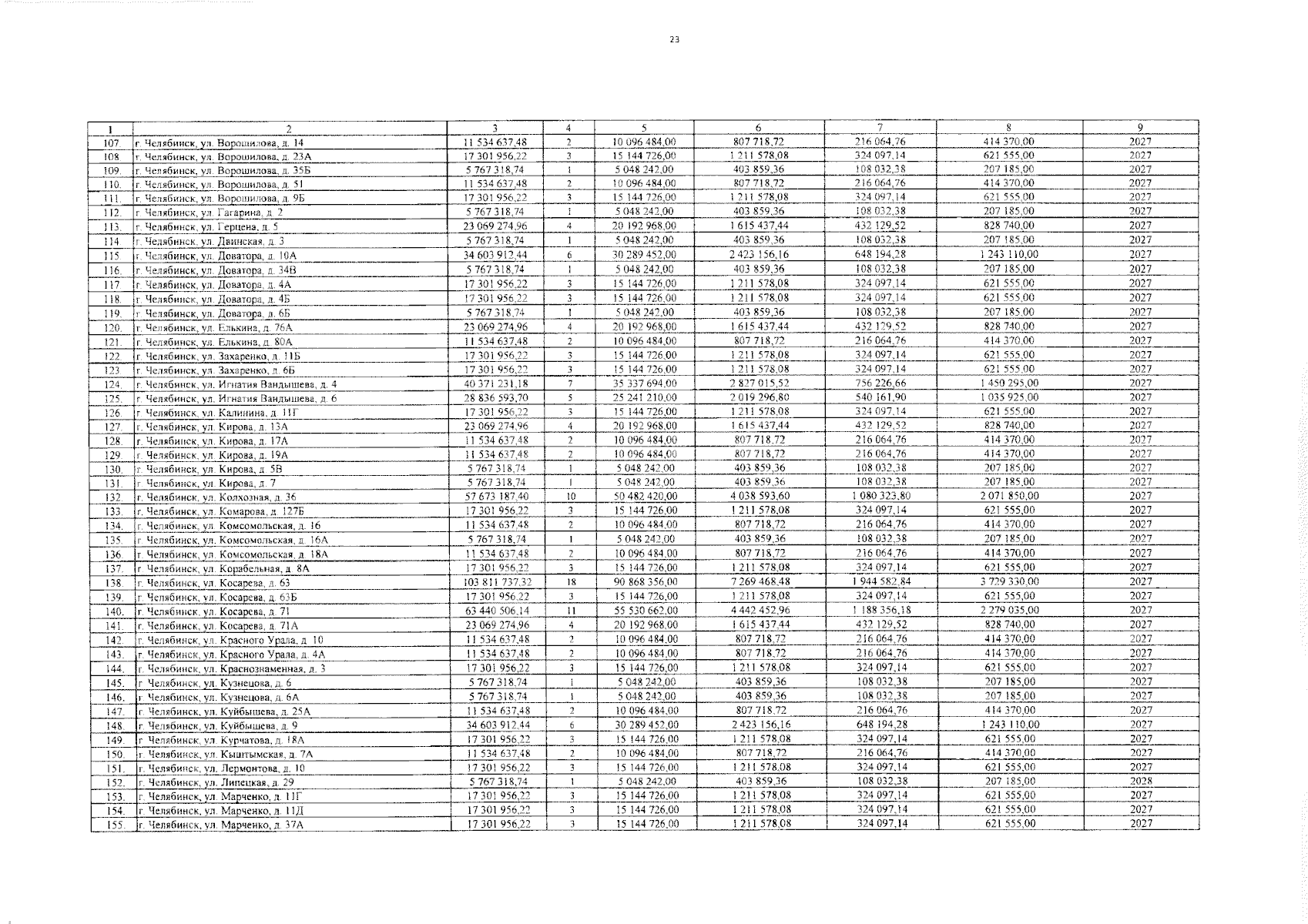
Постановление Правительства Челябинской области от 13.04.2026 № 264-П
"О краткосрочном плане реализации региональной программы капитального ремонта общего имущества в многоквартирных домах Челябинской области на 2027 - 2029 годы"
Номер опубликования: 7400202604150003
Дата опубликования: 15.04.2026
Страница №24 из 26:
Увеличить