Официальное опубликование правовых актов
ОФИЦИАЛЬНОЕ ОПУБЛИКОВАНИЕ
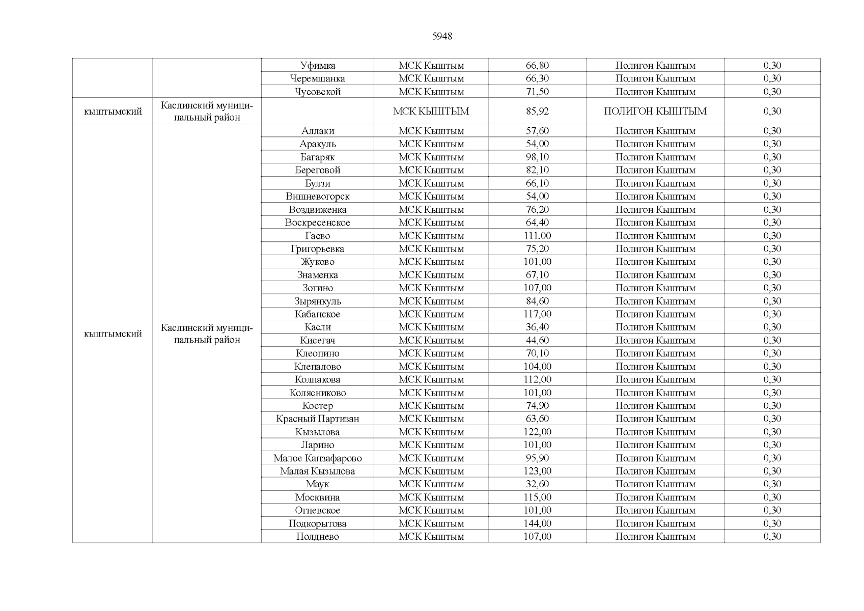
Приказ Министерства экологии Челябинской области от 29.03.2024 № 144
"О внесении изменений в приказ Министерства экологии Челябинской области от 24.12.2018 г. № 1562"
(Зарегистрирован 01.04.2024 № 58)
Номер опубликования: 7401202404050003
Дата опубликования: 05.04.2024
Страница №5949 из 6114:
Увеличить