Официальное опубликование правовых актов
ОФИЦИАЛЬНОЕ ОПУБЛИКОВАНИЕ
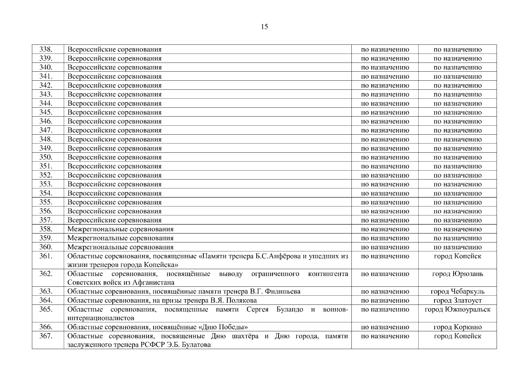
Приказ Министерства по физической культуре и спорту Челябинской области от 28.12.2024 № 465
"Об утверждении единого областного календарного плана официальных физкультурных мероприятий и спортивных мероприятий на 2025 год"
(Зарегистрирован 10.01.2025 № 2)
Номер опубликования: 7401202501130001
Дата опубликования: 13.01.2025
Страница №17 из 322:
Увеличить