Официальное опубликование правовых актов
ОФИЦИАЛЬНОЕ ОПУБЛИКОВАНИЕ
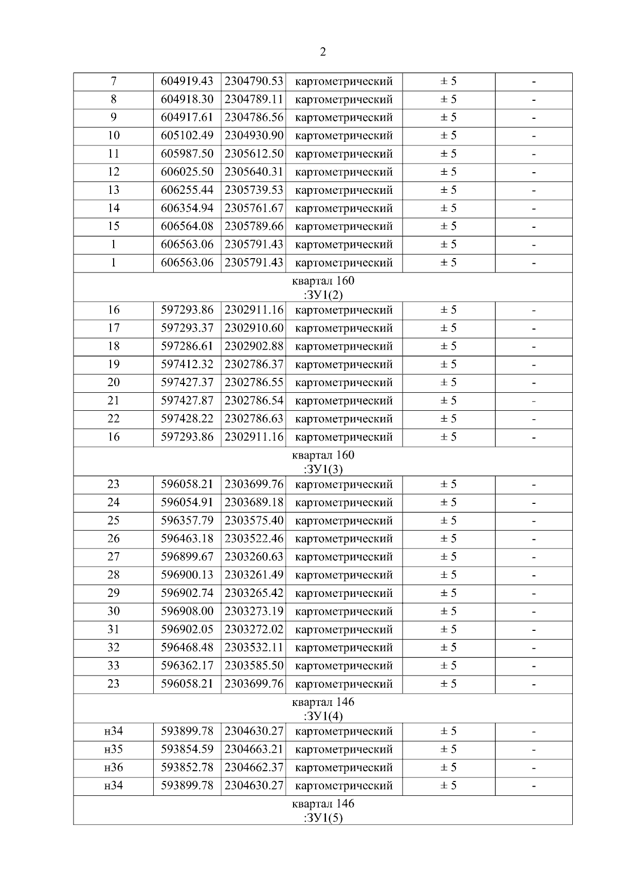
Приказ Главного управления лесами Челябинской области от 26.06.2025 № 622
"Об установлении площадей и границ земель, на которых расположены леса, расположенные в лесопарковых и зеленых зонах Шершневского и Уфалейского лесничеств"
(Зарегистрирован 27.06.2025 № 124)
Номер опубликования: 7401202506270003
Дата опубликования: 27.06.2025
Страница №4 из 15:
Увеличить