Официальное опубликование правовых актов
ОФИЦИАЛЬНОЕ ОПУБЛИКОВАНИЕ
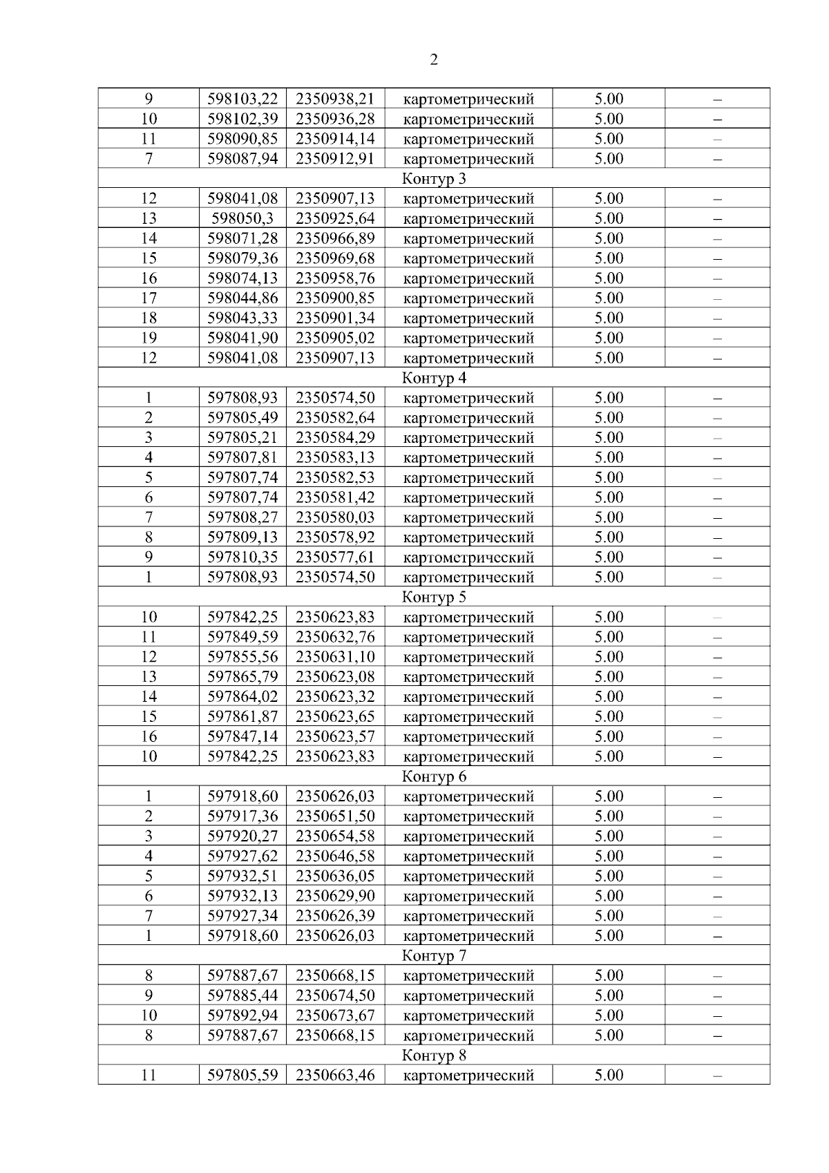
Приказ Главного управления лесами Челябинской области от 15.04.2026 № 324
"Об установлении площадей и границ земель, на которых расположены леса, расположенные в лесопарковых и зеленых зонах Красноармейского и Каслинского лесничеств"
(Зарегистрирован 16.04.2026 № 157)
Номер опубликования: 7401202604170001
Дата опубликования: 17.04.2026
Страница №4 из 51:
Увеличить