Официальное опубликование правовых актов
ОФИЦИАЛЬНОЕ ОПУБЛИКОВАНИЕ
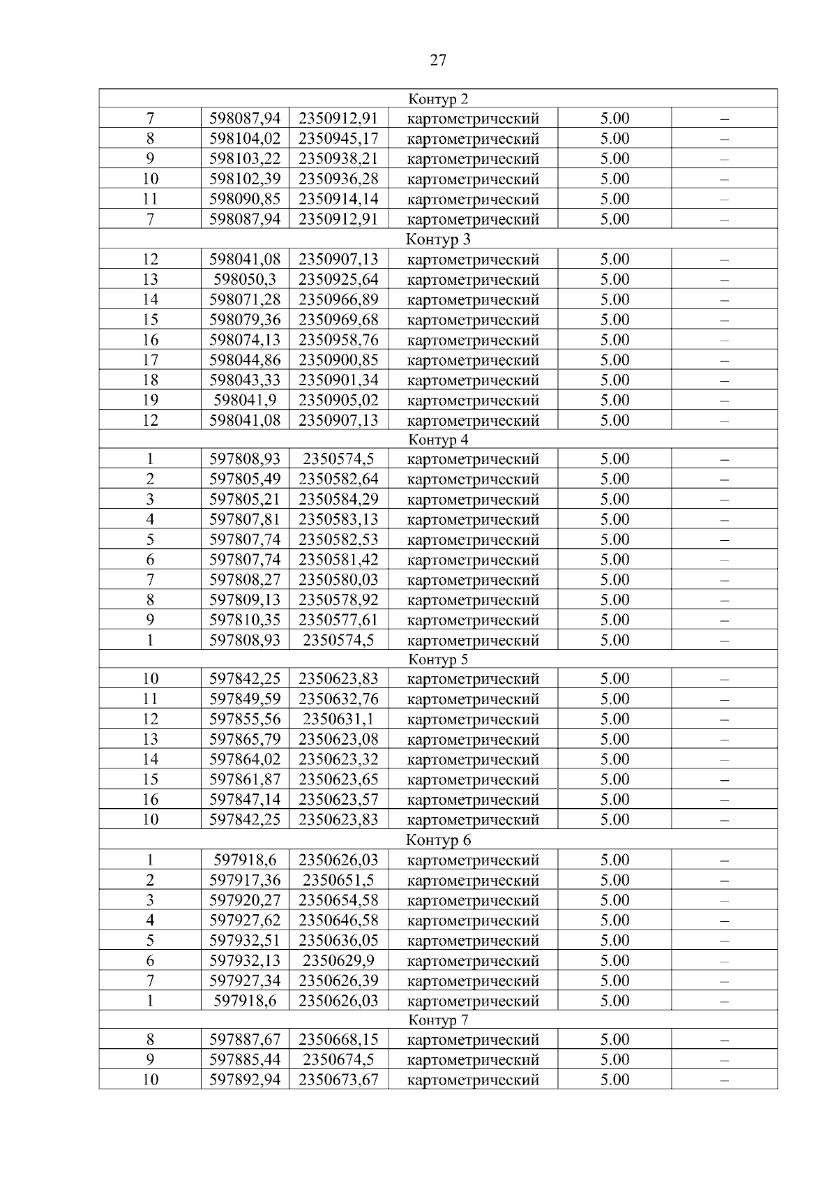
Приказ Главного управления лесами Челябинской области от 15.04.2026 № 325
"Об утверждении проектной документации по изменению границ земель, на которых расположены леса, расположенные в лесопарковых и зеленых зонах Красноармейского и Каслинского лесничеств"
(Зарегистрирован 16.04.2026 № 158)
Номер опубликования: 7401202604170004
Дата опубликования: 17.04.2026
Страница №29 из 77:
Увеличить