Официальное опубликование правовых актов
ОФИЦИАЛЬНОЕ ОПУБЛИКОВАНИЕ
Постановление Правительства Забайкальского края от 12.02.2016 № 62
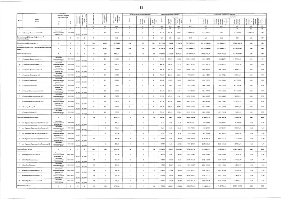
"О внесении изменений в постановление Правительства Забайкальского края от 31 декабря 2013 года № 606 "Об утверждении Региональной адресной программы Забайкальского края по переселению граждан из аварийного жилищного фонда на 2013-2017 годы"
Номер опубликования: 7500201602170001
Дата опубликования: 17.02.2016
Страница №15 из 40:
Увеличить